Ответы
Ответ дал:
0
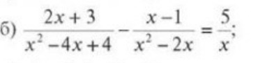
x² -4x +4 =(x -2)²
x² -2x =x(x -2)
(x(2x +3) -(x-1)(x-2)) /x(x-2)² =5/x
(2x²+3x -(x²-3x+2))/x(x-2)² =5/x
(2x²+3x -x²+3x-2)/x(x-2)² =5/x
(x² +6x -2) /x(x-2)² -5/x =0
(x²+6x-2 -5(x-2)²) /x(x-2)² =0
x² +6x -2 -5(x²-4x+4) =0
x² +6x -2 -5x² +20x -20 =0
-4x² +26x -22 =0, *(-1)
4x² -26x +22 =0
D=b²-4ac(a=4,b= -26,c=22)
D =676 -4*4*22 =676 -352 =324 =18²
x1,x2 =(-b+-vD)/2a
x1 =(26 -18)/8 =1
x2 =(26 +18)/8 =5.5
ответ: x =1, x =5.5
x² -2x =x(x -2)
(x(2x +3) -(x-1)(x-2)) /x(x-2)² =5/x
(2x²+3x -(x²-3x+2))/x(x-2)² =5/x
(2x²+3x -x²+3x-2)/x(x-2)² =5/x
(x² +6x -2) /x(x-2)² -5/x =0
(x²+6x-2 -5(x-2)²) /x(x-2)² =0
x² +6x -2 -5(x²-4x+4) =0
x² +6x -2 -5x² +20x -20 =0
-4x² +26x -22 =0, *(-1)
4x² -26x +22 =0
D=b²-4ac(a=4,b= -26,c=22)
D =676 -4*4*22 =676 -352 =324 =18²
x1,x2 =(-b+-vD)/2a
x1 =(26 -18)/8 =1
x2 =(26 +18)/8 =5.5
ответ: x =1, x =5.5
Ответ дал:
0
решение в приложении
Приложения:

Вас заинтересует
2 года назад
2 года назад
7 лет назад
7 лет назад
9 лет назад
9 лет назад