• Предмет: Алгебра
  • Автор: lnet214
  • Вопрос задан 10 лет назад

решите пожалуйста 88 пример, буду благодарен за помощь

Приложения:

Ответы

Ответ дал: SolRu
0
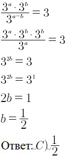
Решение смотрите в вложении
Приложения:
Ответ дал: lnet214
0
спасибо большое за помощь!!
Ответ дал: SolRu
0
нзч
Вас заинтересует