• Предмет: Алгебра
  • Автор: rei741
  • Вопрос задан 10 лет назад

Помогите решить пожалуйста

Приложения:

Ответы

Ответ дал: Utem
0
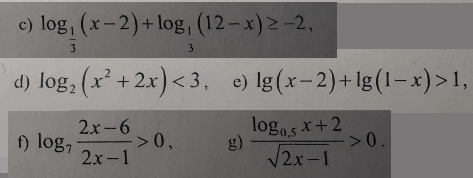
log_{ frac{1}{3} }(x-2)+log_{ frac{1}{3} }(12-x) geq -2
Область допустимых значений
x-2>0    12-x>0
x>2        x<12
x∈(2;12)
Далее перейдём к решению исходного логарифмического неравенства. Из свойств логарифма логарифм произведения равен сумме логарифмов преобразуем левую часть неравенства и представим правую часть как логарифм по основанию 1/3
log_{ frac{1}{3} }((x-2)(12-x)) geq log_{ frac{1}{3} } (frac{1}{3})^{-2}
Переходим от неравенства относительно логарифмов к неравенству подлогарифмических функций. Так как основание логарифма меньше 1, то знак неравенства меняется на противоположный
(x-2)(12-x)≤9
12x-x²-24+2x-9≤0
-x²+14x-33≤0
Приравняем к 0 и решим квадратное уравнение
-x²+14x-33=0
D=14²-4*(-1)*(-33)=196-132=64
x₁=(-14-8)/-2=11   x₂=(-14+8)/-2=3
Отметим точки на числовой прямой и определим знаки на интервалах

            -                                   +                                    -
-------------------------3--------------------------------11-----------------------

С учётом ОДЗ получаем интервалы x∈(2;3]∪[11;12)

d) log₂(x²+2x)<3
ОДЗ:
x²+2x>0
x(x+2)>0
x>0   x<-2
x∈(-∞;-2)∪(0;∞)
log₂(x²+2x)<log₂2³
Так как основание логарифма больше 1(2>1) знак неравенства не меняется.
x²+2x<8
x²+2x-8<0
x²+2x-8=0
D=2²-4*(-8)=4+32=36
x₁=(-2-6)/2=-4   x₂=(-2+6)/2=2

          +                                  -                                +
--------------------(-4)-------------------------------2----------------------

С учётом ОДЗ получим x∈(-4;-2)∪(0;2)

e) lg(x-2)+lg(1-x)>1
lg((x-2)(1-x))>1
ОДЗ:
(x-2)(1-x)>0
x-2>0    1-x>0
x>2        x<1
При любом значении х подлогарифмическое выражение будет отрицательным, поэтому уравнение не имеет решений.

f) log_{7} frac{2x-6}{2x-1} textgreater  0
ОДЗ:
 frac{2x-6}{2x-1} textgreater  0
2x-6>0   2x-1>0
2x>6      2x>1
x>3        x>1/2
x<3        x<1/2
x∈(-∞;1/2)∪(3;∞)
log_{7}  frac{2x-6}{2x-1} textgreater  log_{7}7^{0}
 frac{2x-6}{2x-1} textgreater  1
 frac{2x-6}{2x-1}-1 textgreater  0
 frac{2x-6-2x+1}{2x-1} textgreater  0
 frac{-5}{2x-1} textgreater  0
2x-1 textless  0
2x<1
x<1/2
x∈(-∞;1/2)

g)  frac{log_{0,5}x+2 }{ sqrt{2x-1} }  textgreater  0
ОДЗ:
Подкоренное выражение всегда больше 0, поэтому
2x-1>0
2x>1
x>1/2
Чтобы выполнилось неравенство необходимо чтобы и числитель был больше 0, поэтому
log_{0,5}x+2 textgreater  0
log_{0,5}x textgreater  -2
log_{0,5}x textgreater  log_{0,5}(0,5)^{-2}
x<4
С учётом ОДЗ x∈(0,5;4)
Вас заинтересует