помогите пожалуйста решить. опять логарифмы.. буду очень благодарна если сделаете.
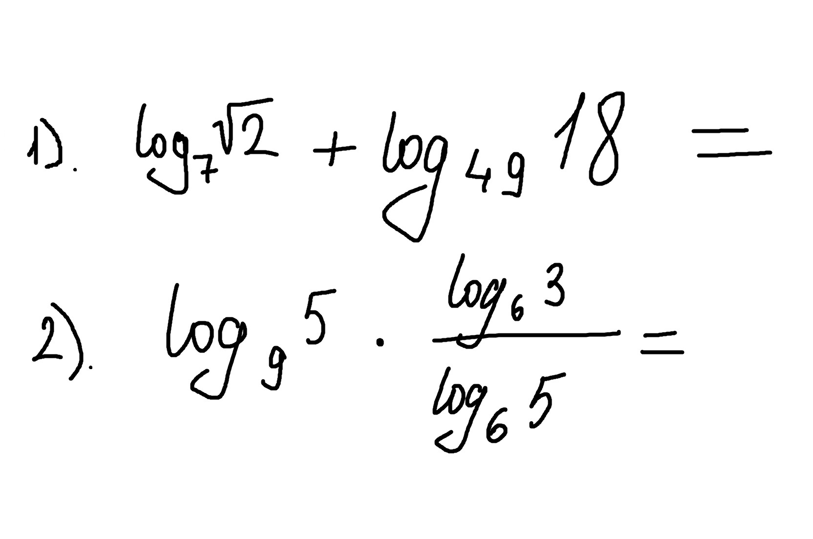
1). log основанием 7 числа корень из 2 + log основанием 49 числа 18 = ..
2). log основанием 9 числа 5 * log основанием 6 числа 3/log основанием 6 числа 5 = ..
(на изображении более понятно)
Приложения:
Ответы
Ответ дал:
0
1
log(7)√2+(log(7)18)/2=log(7)√2+log(7)√18)=log(7)√36=log(7)6≈0,92
2
log(9)5*log(5)3=log(5)5/log(5)9 *log(5)3=1/(2log(5)3*log(5)3=1/2
log(7)√2+(log(7)18)/2=log(7)√2+log(7)√18)=log(7)√36=log(7)6≈0,92
2
log(9)5*log(5)3=log(5)5/log(5)9 *log(5)3=1/(2log(5)3*log(5)3=1/2
Вас заинтересует
2 года назад
2 года назад
7 лет назад
10 лет назад
10 лет назад
10 лет назад