• Предмет: Математика
  • Автор: matreshka5
  • Вопрос задан 10 лет назад

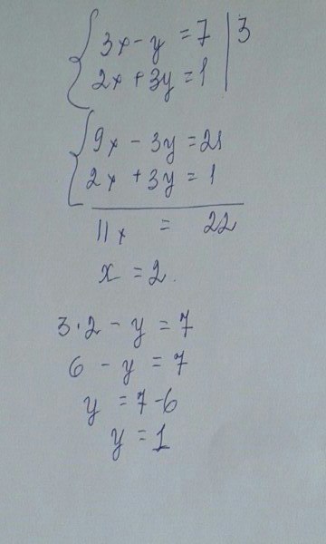
решите систему уравнений
3х-y=7
2x+3y=1

Ответы

Ответ дал: YanaКарпик
0
3-7 будет 4
2x-3y будет 1
Ответ дал: Катя20007
0
вот как-то так,сделай системой сам)
Приложения:
Вас заинтересует