Ответы
Ответ дал:
0
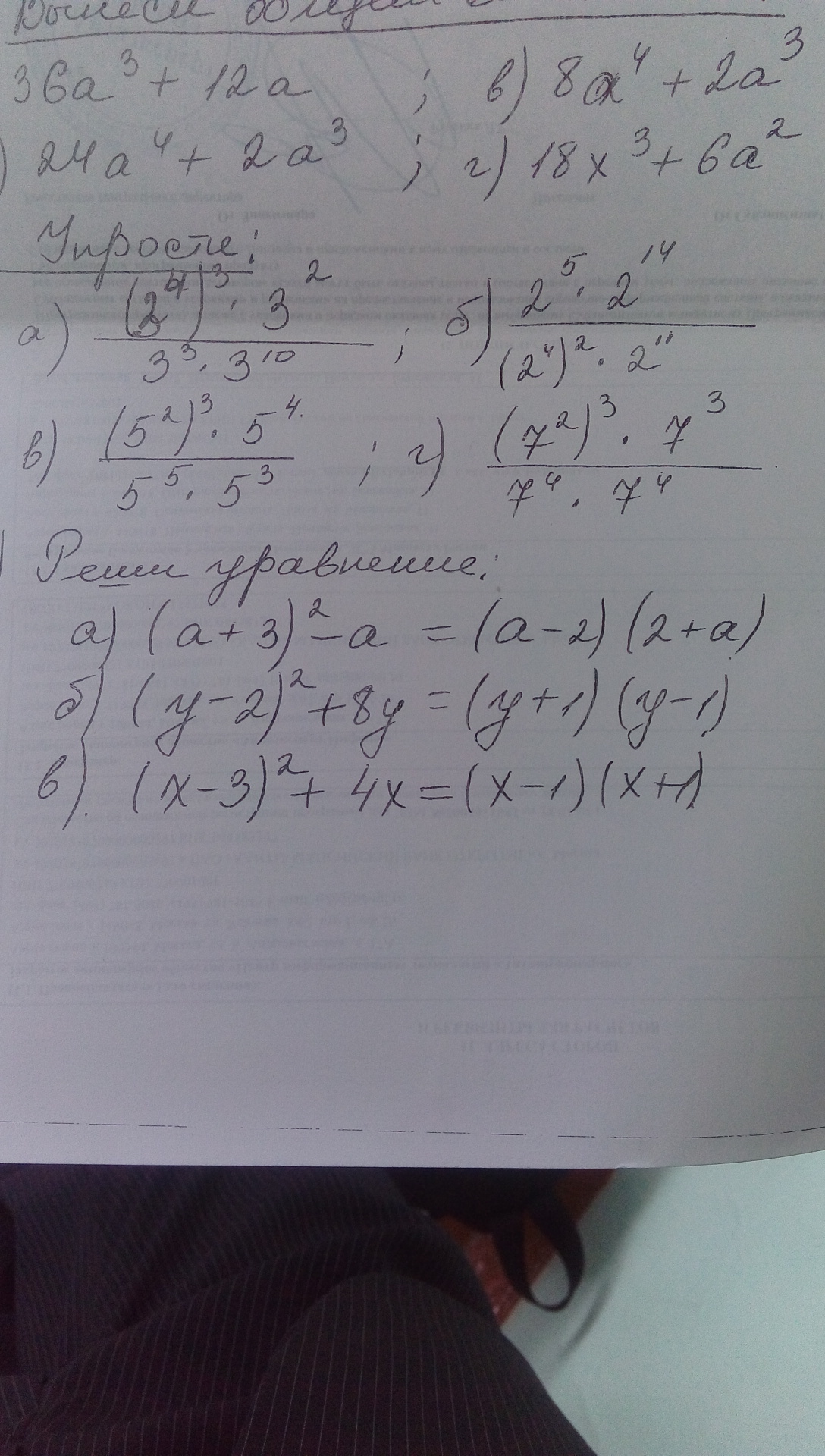
(a+3)²-a= (a-2)(2+a)
a²+6a+9 -a=a²-4
a²+5a-a²=-4-9
5a=-13
a=- 13/5
a= -2.6
=================
(-2.6+3)²-(-2.6)=(-2.6-2)(2+(-2.6)
0.16 +2.6 = -4.6 * (-0.6)
2.76=2.76
(y-2)²+8y= (y+1)(y-1)
y² -4y +4+8y=y²-1
y²+4y -y²=-1-4
4y=-5
y=-5/4
y=-1.25
===============
(-1.25-2)² + 8 * (-1.25 ) = (-1.25+1)(-1.25-1)
10.5625 + (-10) = -0.25 * (-2.25)
0.5625 = 0.5625
(x-3)²+4x=(x-1)(x+1)
x²-6x+9 +4x= x²-1
x²-2x -x² = -1-9
-2x=-10
x=(-10)/(-2)
x=5
===========
(5-3)²+4*5=(5-1)(5+1)
4+20= 4*6
24=24
a²+6a+9 -a=a²-4
a²+5a-a²=-4-9
5a=-13
a=- 13/5
a= -2.6
=================
(-2.6+3)²-(-2.6)=(-2.6-2)(2+(-2.6)
0.16 +2.6 = -4.6 * (-0.6)
2.76=2.76
(y-2)²+8y= (y+1)(y-1)
y² -4y +4+8y=y²-1
y²+4y -y²=-1-4
4y=-5
y=-5/4
y=-1.25
===============
(-1.25-2)² + 8 * (-1.25 ) = (-1.25+1)(-1.25-1)
10.5625 + (-10) = -0.25 * (-2.25)
0.5625 = 0.5625
(x-3)²+4x=(x-1)(x+1)
x²-6x+9 +4x= x²-1
x²-2x -x² = -1-9
-2x=-10
x=(-10)/(-2)
x=5
===========
(5-3)²+4*5=(5-1)(5+1)
4+20= 4*6
24=24
Ответ дал:
0
очень помог спасибо
Ответ дал:
0
всегда пожалуйста)
Вас заинтересует
3 года назад
8 лет назад
8 лет назад
10 лет назад
10 лет назад