• Предмет: Алгебра
  • Автор: Аноним
  • Вопрос задан 10 лет назад

Ребзи, помогите, пожалуйста! Как это решить? Подробно, пожалуйста

Приложения:

Ответы

Ответ дал: tripsw752
0
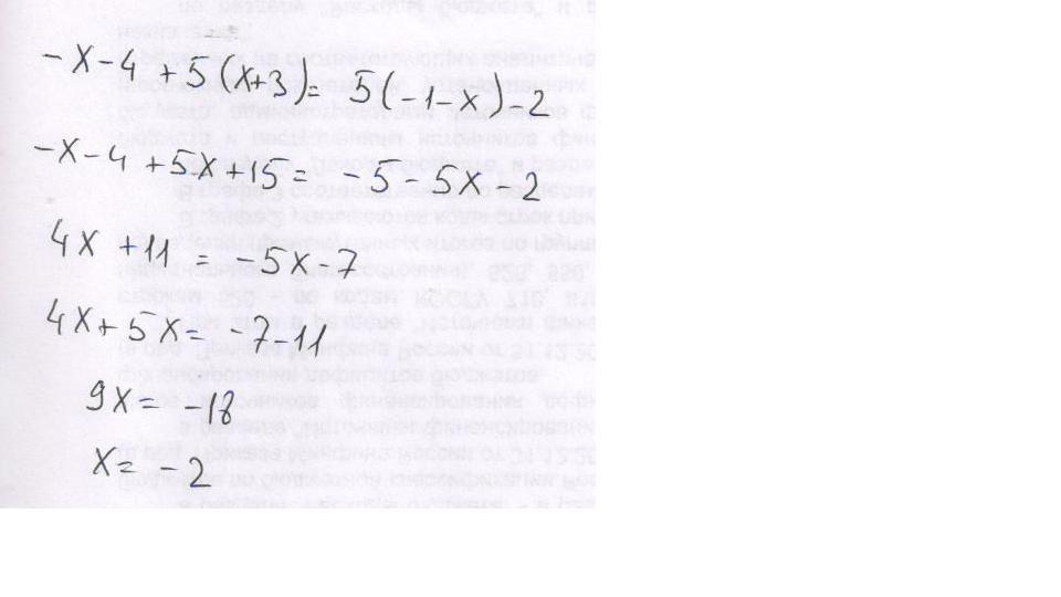
-x-4+5 (x+3)= 5(-1-x)-2;
-х-4+5х+15= -5-5х-2;
-х-4+5х+15+5+5х+2=0
9х+18=0
9х=-18
х= -2
Ответ дал: ewgenijbark
0
см. вложение
==============
Приложения:
Вас заинтересует