• Предмет: Геометрия
  • Автор: tanyakuzovckina
  • Вопрос задан 10 лет назад

помогите пожалуйста.

Приложения:

Ответы

Ответ дал: ужнеужели
0
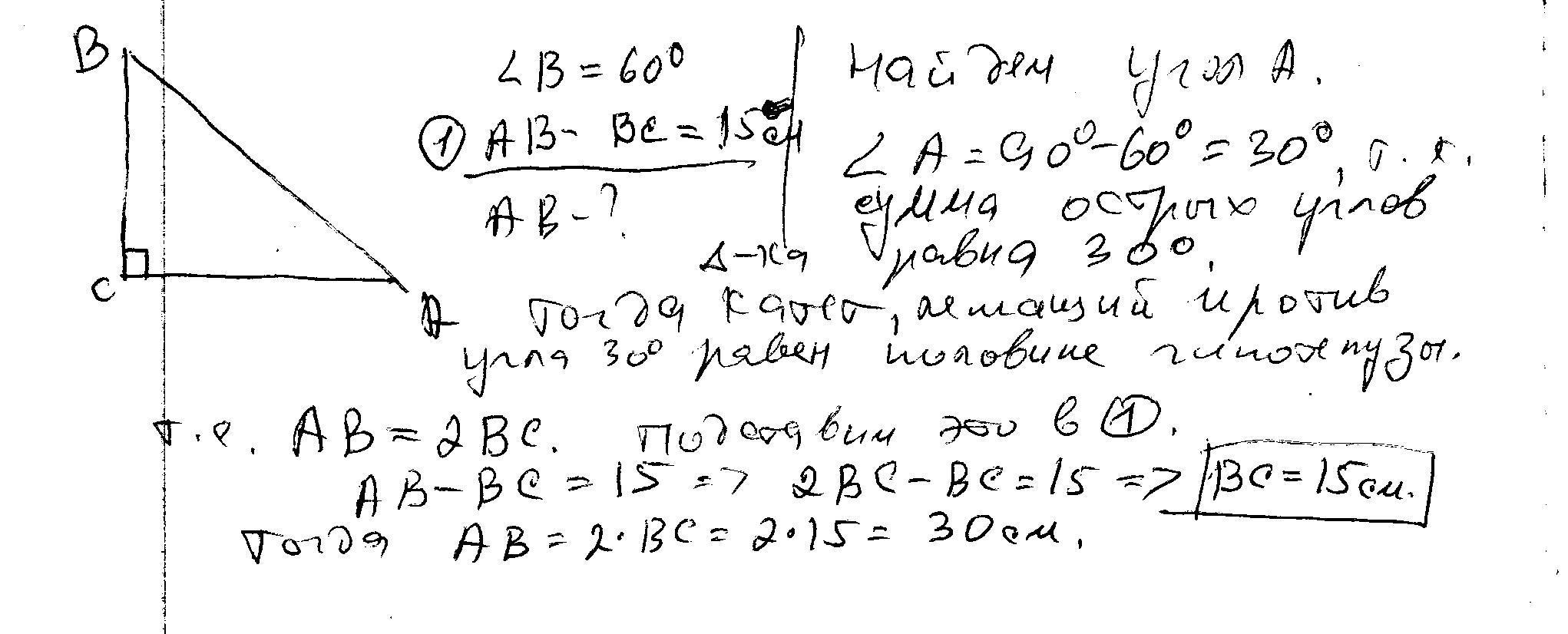
решение в скане..........
Приложения:
Ответ дал: tanyakuzovckina
0
спасибо
Ответ дал: ужнеужели
0
Удачи Вам
Вас заинтересует