• Предмет: Алгебра
  • Автор: RollingStone
  • Вопрос задан 10 лет назад

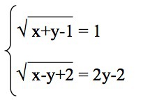
Решить систему неравенств, 10 класс (см. вложение).
Буду очень и очень благодарна.

Приложения:

Ответы

Ответ дал: sedinalana
0
ОДЗ
2y-2≥0⇒2y≥2⇒y≥1
возведем в квадрат
{x+y-1=1⇒x=2-y
{x-y+2=4y²-8y+4
2-y-y+2=4y²-8y+4
4y²-6y=0
2y(2y-3)=0
y=0∉ОДЗ
2у-3=0
2у=3
у=1,5
Вас заинтересует