• Предмет: Математика
  • Автор: nikita1980860172534
  • Вопрос задан 10 лет назад

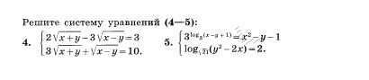
Помогите решить систему уравнений.

Приложения:

Ответы

Ответ дал: прр40
0
пусть √х+у=а , √х-у=b, тогда
2а-3b=3
3а+b=10 *3

2а-3b=3
9а+3b=30

а=3
b=1
Вас заинтересует