Ответы
Ответ дал:
0
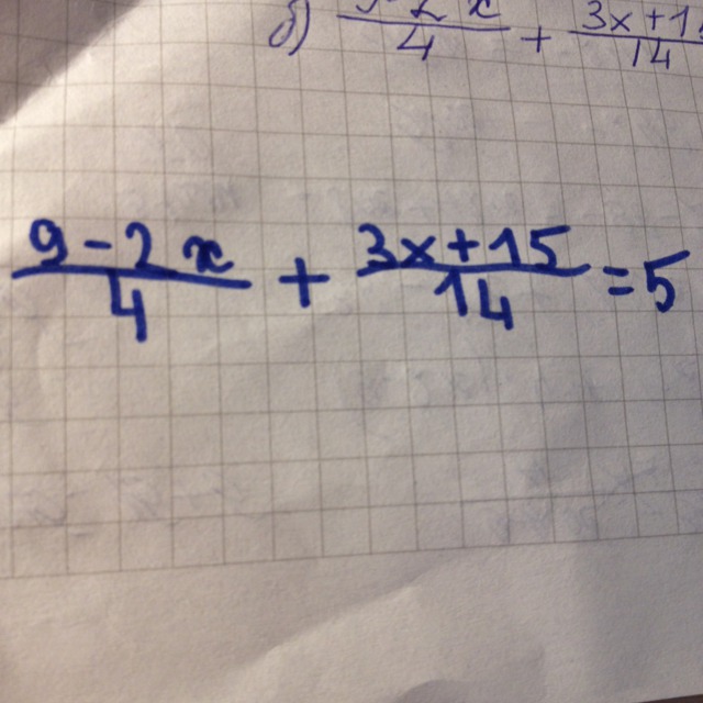
домножаем все на 28
получаем 28 (9 - 2х) / 4 + 28 (3х + 15) / 14 = 5 * 28
сокращаем
получаем 63 - 14х + 6х + 30 = 140
63 - 8х + 30 = 140
93 - 8х = 140
8х = 93 - 140
8х = - 47
х = -5.875
получаем 28 (9 - 2х) / 4 + 28 (3х + 15) / 14 = 5 * 28
сокращаем
получаем 63 - 14х + 6х + 30 = 140
63 - 8х + 30 = 140
93 - 8х = 140
8х = 93 - 140
8х = - 47
х = -5.875
Вас заинтересует
3 года назад
3 года назад
8 лет назад
10 лет назад
10 лет назад
10 лет назад