• Предмет: Алгебра
  • Автор: trololo71
  • Вопрос задан 11 лет назад

РЕШИТЕ СИСТЕМУ УРАВНЕНИЙ !!!!

РЕБЯТКИ СРОЧНООО 

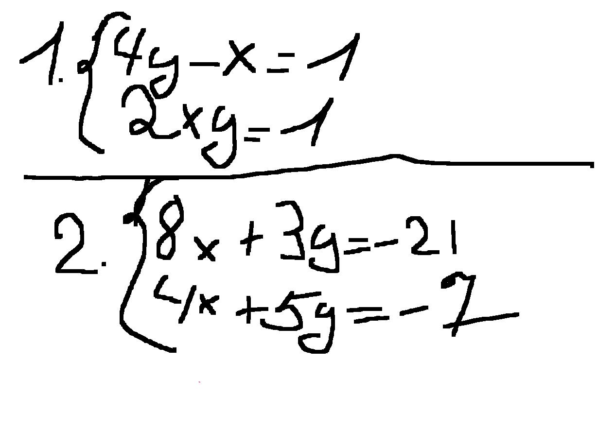
Приложения:

Ответы

Ответ дал: anyutakobzar
0

Все ответы правильные,я сделала проверку,просто не стала писать, уже устала . Ответы правильные!!!

1.  значок системы поставишь сам я поставлю дробь где надо ставить

^2 означает в квадрате

 

Выразим из первого выражения системы х через у и подставим во второе

 /  4y-x=1

 /   2xy=1

______

/    -x=1-4y

/     2xy=1

_______

 /     x=4y-1

 /     2y(4y-1)=1

________

  /     x=4y-1

 /      8y^2 - 2y = 1

___________

       

 

8y^2-2y=1

 

8y^2-2y-1=0

D=b^2-4ac

D=4+32=36

корень из дискриминанта = 6 (6 в квадрате = 36)

найдем корни квадратного уравнения

 

х первое(обозначается 1 внизу х) = (-b+ корень D) и это все поделить на 2а

х второе(обозначается 2 внизу х)  =(-b - корень D) и это все поделить на 2а

х1=2+6  и это поделить на 16 = 8/16=0,5

х2=2-6 и это поделить на 16= -4/16=-4

теперь найдем  y при двух значениях х

1) первый случай  х=0,5

подставим это в одно из выражения системы чтобы узнать y

х=4у-1

0,5=4у-1

4у=1,5

у=3/8

у=0,375

 

2)второй случай х= - 4

х=4у-1

-4=4у-1

4у=-3

у=-3/4

у=-0,75

Ответ: (0,5;0,375) и (-4;-0,75)

 

 

2. Эту систему мы решим способом сложения. Для этого на нужно чтобы хоть один коэффициент был равен другому(т.е. например перед х в первом 8 а во втором 4 нам нужно сделать так чтобы во втором выражении было тоже 8 перед х для этого второе выражение умножим на 2)

/  8х+3у=-21

/    4х+5у=-7 /*2

______________

/    8х+3у=-21

/     8х+10у=-14

 

Теперь из второго уравнения вычитаем первое. Приводим подобные слагаемые и решаем полученное линейное уравнение.

8х+10у - (8х+3у)= -14 - (-21)

8х+10у-8х-3у=-14+21

7у=7

у=1

 

Полученное значение подставляем во второе уравнение из нашей исходной системы и решаем получившееся уравнение.

 

4х+5у=-7

4х+5=-7

4х=-12

х=-12/4

х=-3

Ответ: (-3;1)

 

Вас заинтересует