Ответы
Ответ дал:
0
Не знаю, что там с "целостным", но моё решение вот.
Приложения:


Ответ дал:
0
Целочисленными будут являться: -3, -2, -1, 0 (?), 1, 2.
Ответ дал:
0
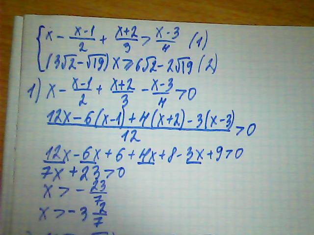
для начала разберемся с первым неравенством.
чтобы избавится от дробей домножим его на 12
12x-6(x-1)+4(x+2)>3(x-3)
12x-6x+6+4x+8>3x-9
10x+14>3x-9
10x-3x>-9-14
7x>-23
x>-23/7=-3 2/7
теперь второе
(3√2-√19)x≥ 6√2-2√19
(3√2-√19)x≥ 2(3√2-√19)
заметим, что (3√2-√19)<0, поэтому при делении на него знак неравенства меняется на противоположный
x≤2
итого получаем -3 2/7<x≤2
целочисленные решения следующие: -3,-2,-1,0,1,2
чтобы избавится от дробей домножим его на 12
12x-6(x-1)+4(x+2)>3(x-3)
12x-6x+6+4x+8>3x-9
10x+14>3x-9
10x-3x>-9-14
7x>-23
x>-23/7=-3 2/7
теперь второе
(3√2-√19)x≥ 6√2-2√19
(3√2-√19)x≥ 2(3√2-√19)
заметим, что (3√2-√19)<0, поэтому при делении на него знак неравенства меняется на противоположный
x≤2
итого получаем -3 2/7<x≤2
целочисленные решения следующие: -3,-2,-1,0,1,2
Приложения:


Вас заинтересует
7 лет назад
7 лет назад
9 лет назад
10 лет назад