В треугольнике ABC,AC=BC,AB=8,cosA=0.5. Найдите АС. Решите, пожалуйста, буду очень благодарен, ну и баллы дам 25 за правильный ответ))
Ответы
Ответ дал:
0
Угол А = 60 градусов. По свойству углов при основании в равнобедренном треугольнике угол А = углу В = 60 градусов. Сумма всех углов треугольника равна 180 градусов, следовательно угол С тоже равен 60 градусам, что позволяет сделать заключение, что треугольник - равносторонний, откуда следует, что (по равенству всех сторон в правильном треугольнике) сторона АС будет равно 8.
Ответ дал:
0
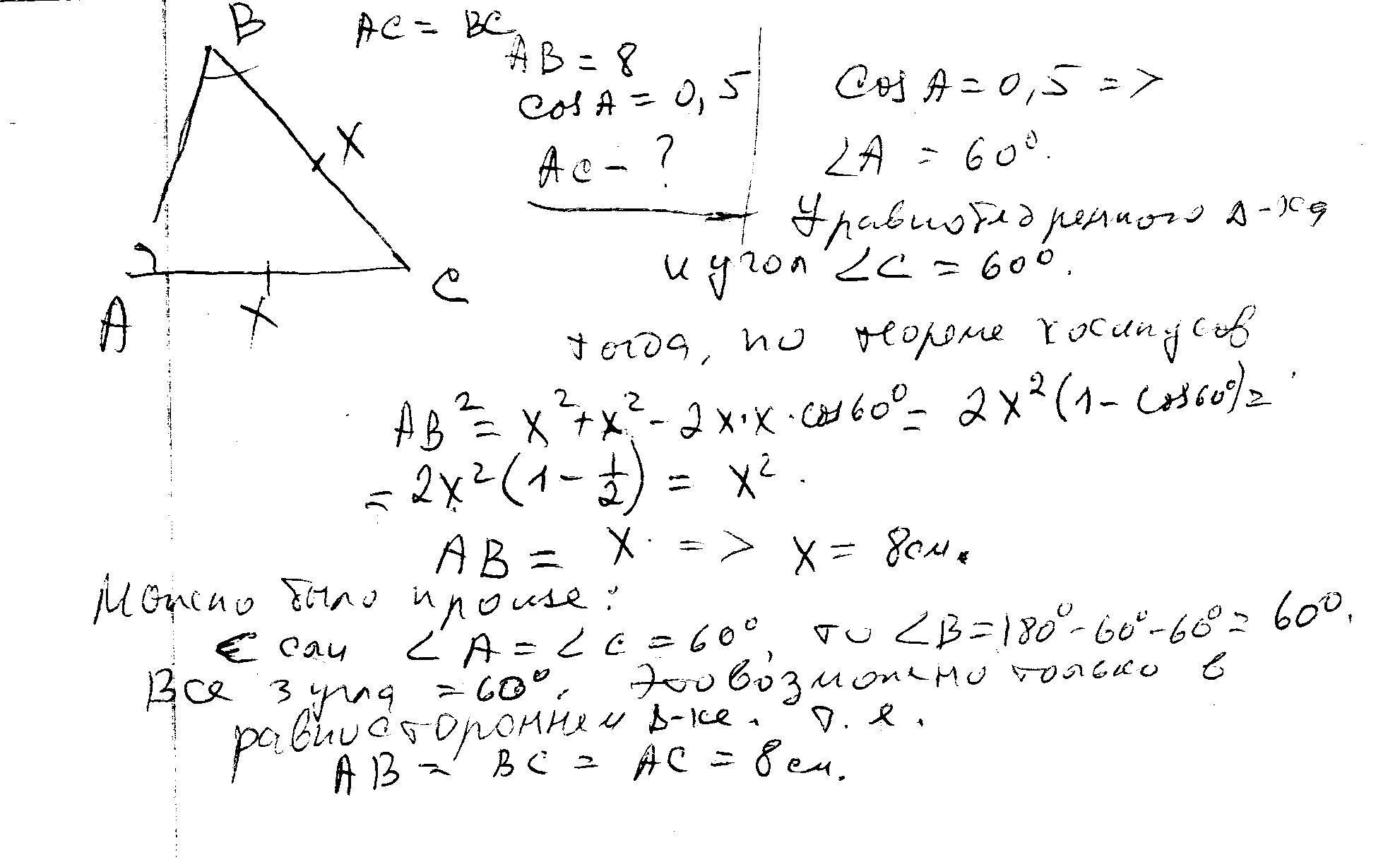
Решение в скане..........
Приложения:

Ответ дал:
0
Спасибо огромное)
Ответ дал:
0
На здоровье
Вас заинтересует
2 года назад
2 года назад
7 лет назад
9 лет назад
9 лет назад
10 лет назад