Ответы
Ответ дал:
0
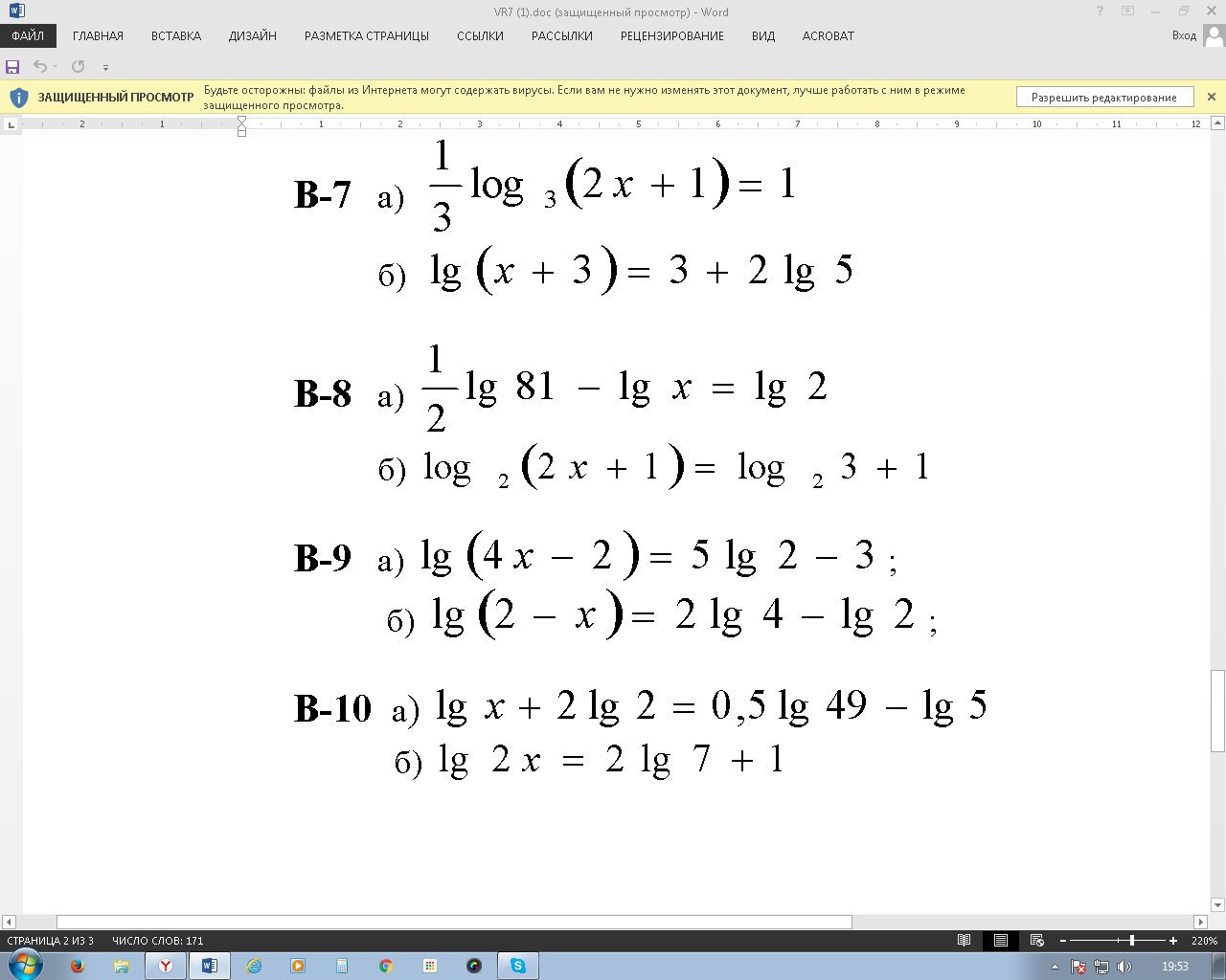
а) lg√81-lg2=lgx, √81=9, lga-lgb=lg(a/b)
x=9/2
x=4.5
б) log₂(2x+1)=log₂3+log₂2, 1=log₂2
2x+1=6, т.к. log₂a+log₂b=log₂(ab)
2x=6-1
2x=5
x=2.5
x=9/2
x=4.5
б) log₂(2x+1)=log₂3+log₂2, 1=log₂2
2x+1=6, т.к. log₂a+log₂b=log₂(ab)
2x=6-1
2x=5
x=2.5
Вас заинтересует
3 года назад
3 года назад
8 лет назад
8 лет назад
10 лет назад
10 лет назад
10 лет назад