• Предмет: Математика
  • Автор: XaberchannelXaber
  • Вопрос задан 10 лет назад

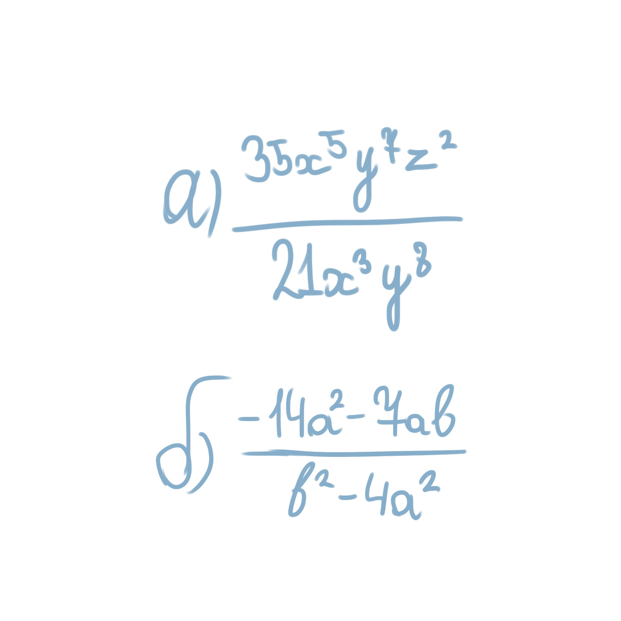
Сократите 2 дроби.
Файл с примерами прикреплен.

Приложения:

Ответы

Ответ дал: alena66666
0
35*х^5*y^7*z^2/21x^3*y^8=5x^2y^-1z^2/3
б)-14а²-7ab/b²-4a²=7a(2a-b)/(b-2a)(b+2a)=7a/b+2a
Вас заинтересует