Ответы
Ответ дал:
0
смотри решение на фото
Приложения:

Ответ дал:
0
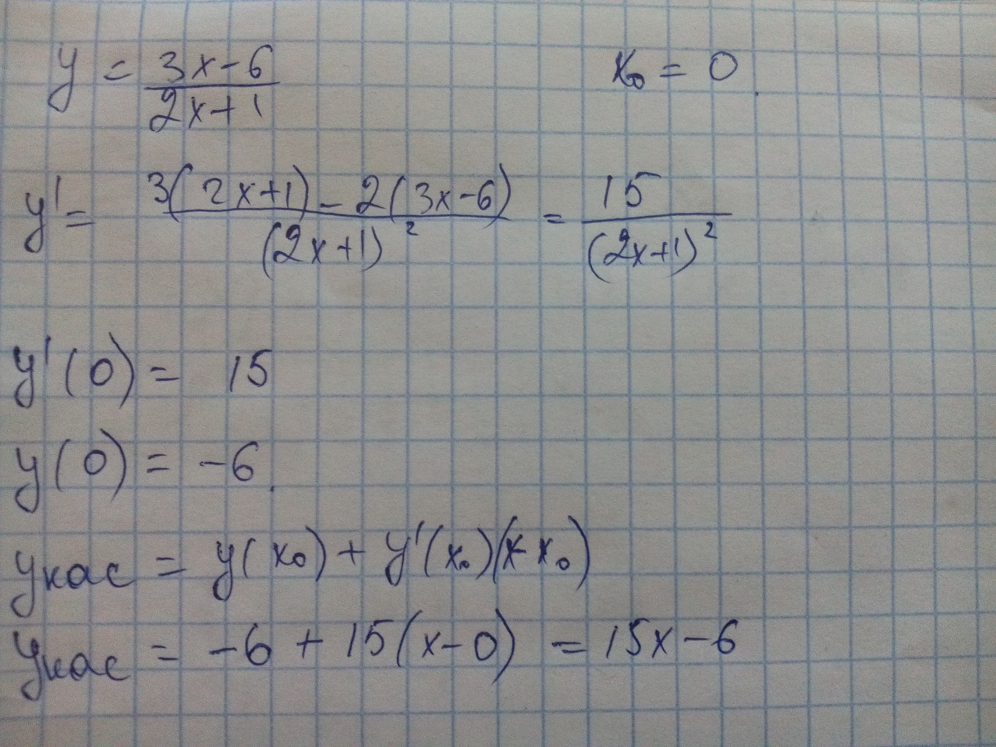
y(0)=-6/1=-6
y`=[3(2x+1)-2(3x-6)]/(2x+1)²=(6x+3-6x+12)/(2x+1)²=15/(2x+1)²
y`(0)=15/1=15
y=-6+15(x-0)=15x-6
y`=[3(2x+1)-2(3x-6)]/(2x+1)²=(6x+3-6x+12)/(2x+1)²=15/(2x+1)²
y`(0)=15/1=15
y=-6+15(x-0)=15x-6
Приложения:

Вас заинтересует
2 года назад
2 года назад
7 лет назад
7 лет назад
9 лет назад
9 лет назад
10 лет назад