помогите срочно завтра кр,могу отдать все баллы 100 их и скинуть всю кр договримся в вк
Приложения:
Ответы
Ответ дал:
0
a
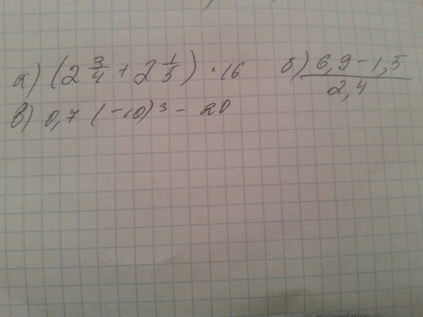
1)2 3/4+2 1/2=2 9/12+2 6/12=4 15/12=5 3/12=5 1/4
2)5 1/4*16=80 16/4=84
б
6,9-1,5=5,4
2)5,4:2,4=54/24=9/4=2,25
в
(-10)³=-1000
-1000*0б7=-700
-700-20=-720
1)2 3/4+2 1/2=2 9/12+2 6/12=4 15/12=5 3/12=5 1/4
2)5 1/4*16=80 16/4=84
б
6,9-1,5=5,4
2)5,4:2,4=54/24=9/4=2,25
в
(-10)³=-1000
-1000*0б7=-700
-700-20=-720
Вас заинтересует
3 года назад
3 года назад
8 лет назад
10 лет назад
10 лет назад