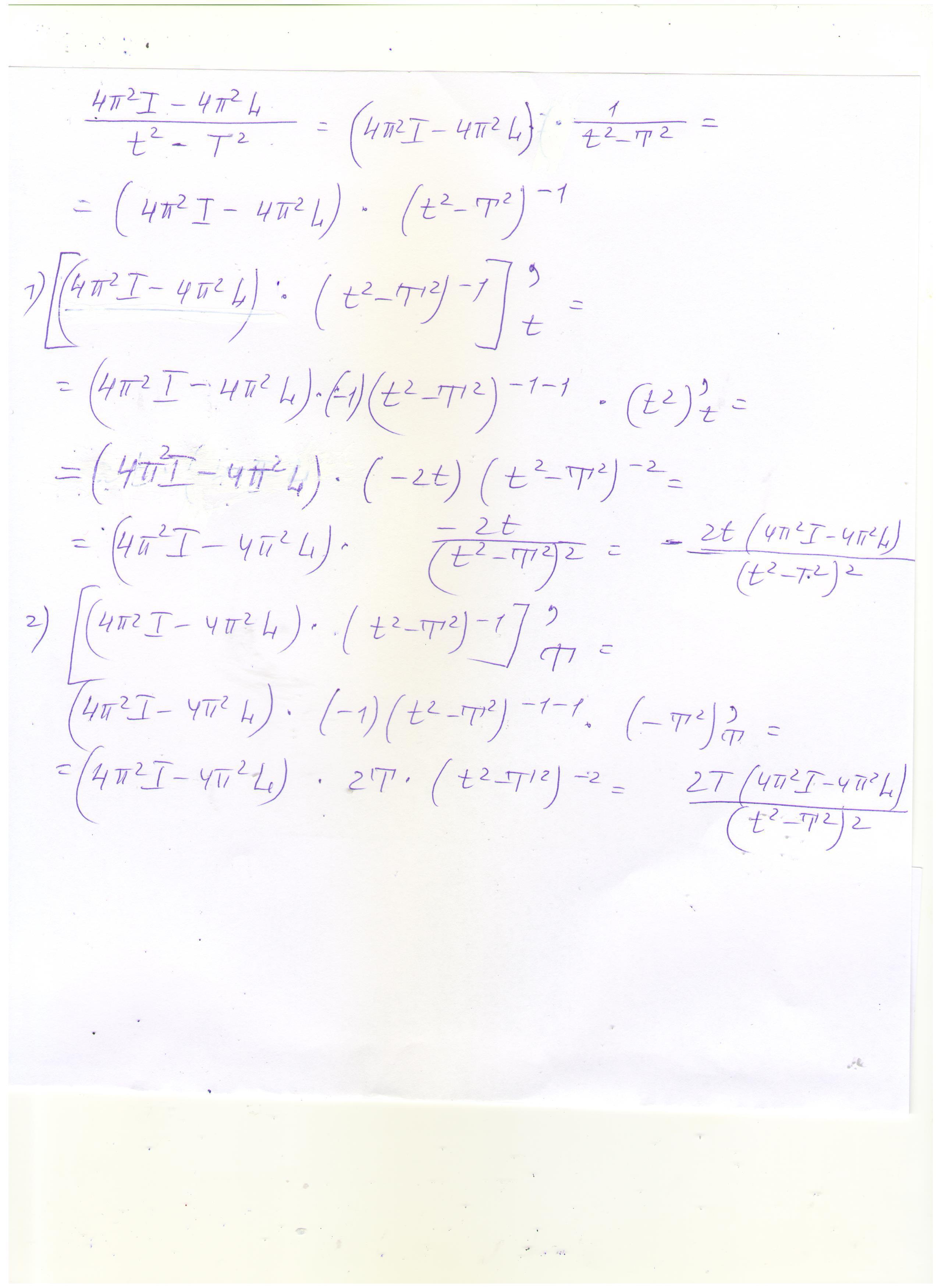
Найдите частные производные в уравнении (4(pi^2)l-4(pi^2)L)/((t^2)-T^2) по t и T. сподробными преобразованиями если не сложно.
Ответы
Ответ дал:
0
смотри приложенный файл
Приложения:
Вас заинтересует
2 года назад
2 года назад
7 лет назад
7 лет назад
10 лет назад
10 лет назад
10 лет назад