• Предмет: Алгебра
  • Автор: elizavetamnm
  • Вопрос задан 10 лет назад

СРОЧНОО!!!
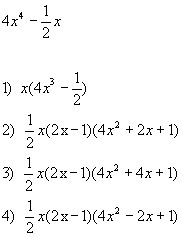
Разложите многочлен на множители. Выберите верный ответ из предложенных:

Приложения:

Ответы

Ответ дал: Афа11
0
ответ первый,просто х выносим за скобку
Ответ дал: Utem
0
4x⁴-(1/2)x=
выносим (1/2)х за скобки
=1/2х(8х³-1)=
далее 8х³-1 расписываем как разность кубов
=1/2х(2х-1)(4x²+2x+1)

Ответ: 2)
Ответ дал: w16dragons
0
ответ 2)
Ответ дал: Utem
0
Так и есть!
Вас заинтересует