• Предмет: Геометрия
  • Автор: alinochabelova
  • Вопрос задан 10 лет назад

1) Усi бiчнi ребра правильноi трикутноi пiрамiди нахиленi до площi основи пiд кутом 60 градусов.Знайдiть об'ем пiрамiди,якщо сторона основи дорiвнюе 2 см.
2) Площа повних поверхонь рiвностороннього конуса i рiвностороннього цилiндра рiвнi.Знайдiть вiдношення радiусiв iх основ.
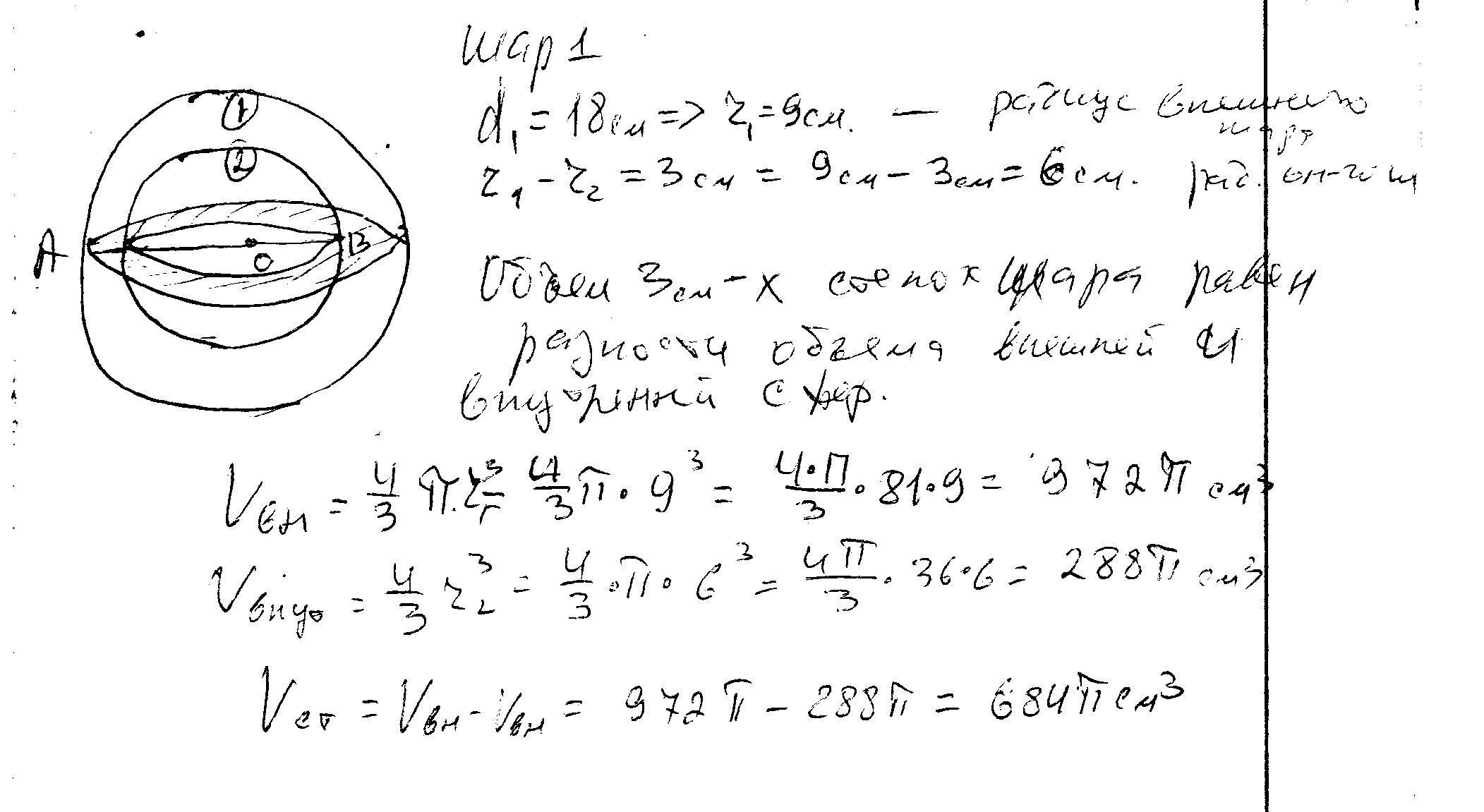
3) Зовнiшнiй дiаметр порожнистоi кулi дорiвнюе 18 см,а товщина стiнок-3 см.Знайдiть об'ем стiнок.

Ответы

Ответ дал: ужнеужели
0
решение в скане.......
Приложения:
Вас заинтересует