• Предмет: Математика
  • Автор: oogorodova2015
  • Вопрос задан 10 лет назад

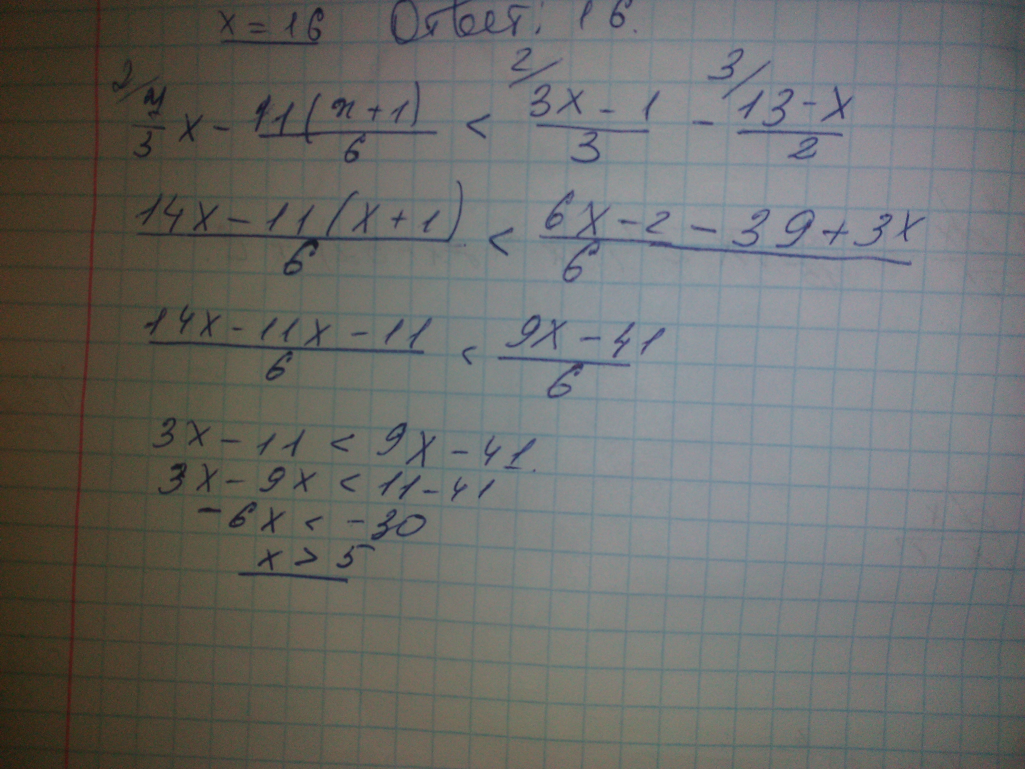
Решите неравенство:
7х/3 - 11(х+1)/6 < 3Х-1/3 - 13-х/2

Ответы

Ответ дал: Юленька194
0
если есть вопросы пишите
Приложения:
Ответ дал: Юленька194
0
решим уравнение и найдем корни 1 и -14/3
Ответ дал: Юленька194
0
ответ -бесконечности ; -14/3] v [1; + бесконечности)
Ответ дал: oogorodova2015
0
Спасибо большое
Ответ дал: Юленька194
0
отметьте решение как лцчшее плиз
Ответ дал: oogorodova2015
0
Конечно
Вас заинтересует