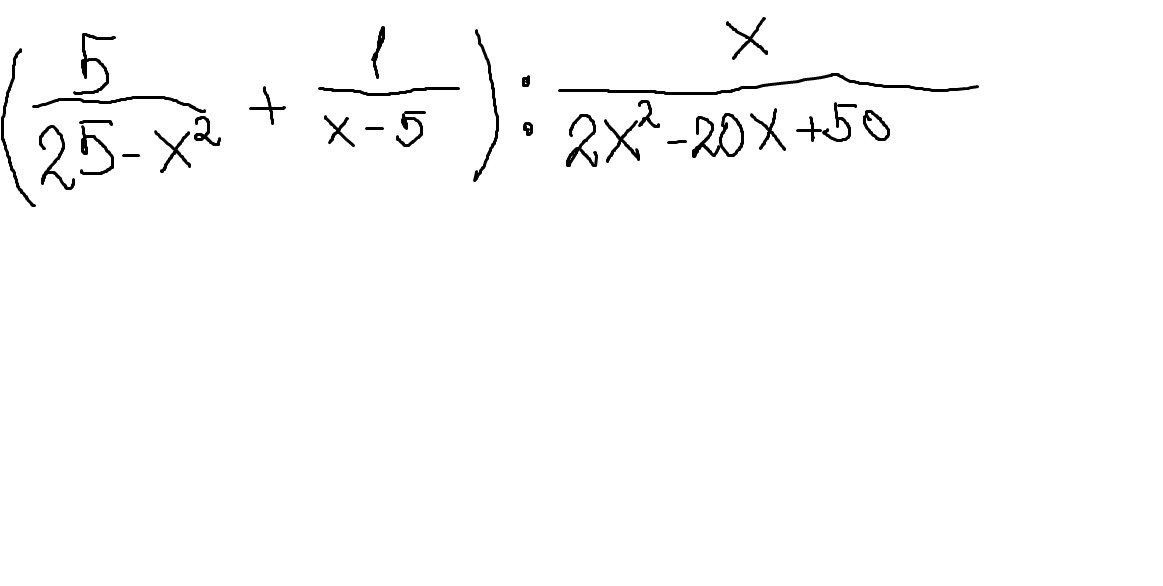
Упростите выражение. По подробнее ,если можно. Давно такие не делала, хочу сама понять.
Приложения:
Ответы
Ответ дал:
0
1)5(5-х)(5+х)-(5-х)(5-х)(5+х)=5-5+х)25-х в2=х25-х в2
2)х(25-х в2):х(2х в2-20х+50)=х(25-х в2):6.25х= 6.2525-х в2
2х в2-20х+50не равно 0
Д=(-20) в2-4*2*50=400-400=0
Х=-в4а=204*2=2.5
не уверена
2)х(25-х в2):х(2х в2-20х+50)=х(25-х в2):6.25х= 6.2525-х в2
2х в2-20х+50не равно 0
Д=(-20) в2-4*2*50=400-400=0
Х=-в4а=204*2=2.5
не уверена
Вас заинтересует
3 года назад
3 года назад
8 лет назад
10 лет назад