• Предмет: Алгебра
  • Автор: samodurovamilan
  • Вопрос задан 10 лет назад

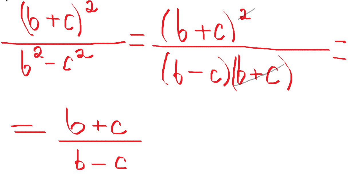
(b+c)²/b²-c². Сократите дробь, пожалуйста.

Ответы

Ответ дал: Paul2910
0
(b+c)^2/b^2 - c^2 = (b+c)^2/(b+c)(b-c) = (b+c)/(b-c) при условии, что b не равно -с
Ответ дал: No03
0
Решение на фото............
Приложения:
Вас заинтересует