• Предмет: Алгебра
  • Автор: onesherharry
  • Вопрос задан 10 лет назад

ПОЖАЛУЙСТА, ОЧЕНЬ СРОЧНО!
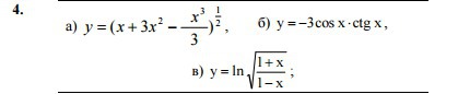
Найти производные функций (Распишите, пожалуйста, большое спасибо!!!!!)

Приложения:

Ответы

Ответ дал: lara164
0
*************************************
Приложения:
Ответ дал: lara164
0
что не понятно - спрашивайте
Ответ дал: onesherharry
0
Спасибо за помощь! Большое-большое спасибо!
Ответ дал: lara164
0
не за что! :)
Вас заинтересует