• Предмет: Химия
  • Автор: goldfakel
  • Вопрос задан 11 лет назад

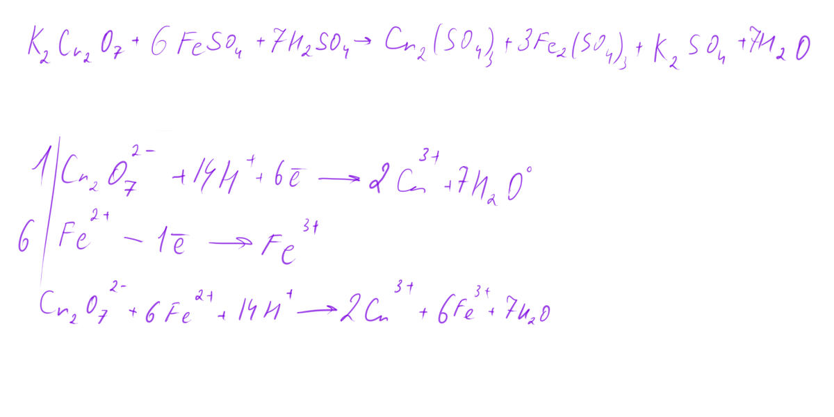
метод полуреакций! 

K2Cr2O7+H2SO4+FeSO4 --> Cr2(SO4)3+Fe2(SO4)3+K2SO4+H2O

 

Ответы

Ответ дал: AleksAlbert
0

Решение во вложении. Надеюсь, поможет)

Приложения:
Вас заинтересует