• Предмет: Геометрия
  • Автор: Лолита3111
  • Вопрос задан 10 лет назад

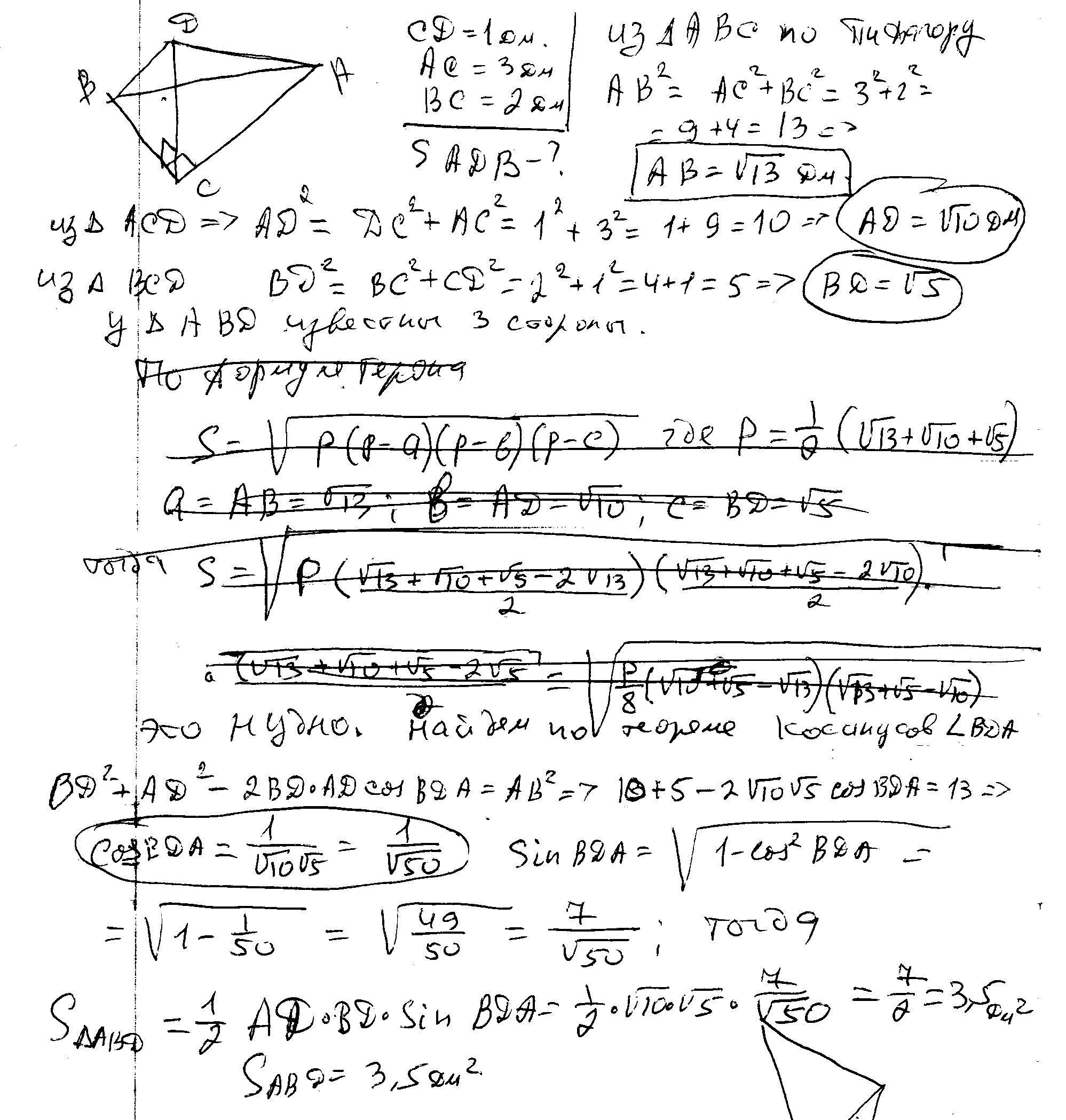
Через вершину прямого кута С прямокутного трикутника АВС до його площини проведено перпендикуляр СД=1 дм.Знайти площу трикутника АДВ, якщо АС=3 дм, ВС=2дм

Ответы

Ответ дал: ужнеужели
0
решение в скане........
Приложения:
Вас заинтересует