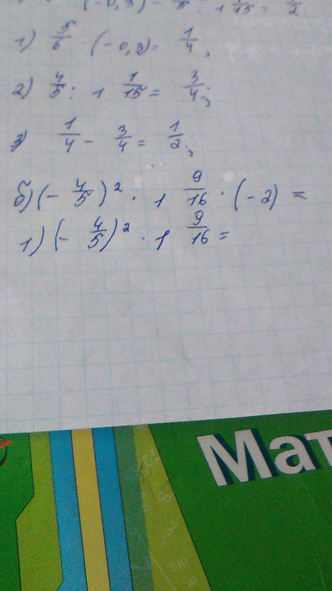
Как решать пример под номером б)? сижу ломаю голову , не под скажите
мне по действиям
Приложения:

Ответы
Ответ дал:
0
Ответ дал:
0
я нечаянно 2 раза пример написал
Ответ дал:
0
постаь мой лучший
Вас заинтересует
2 года назад
2 года назад
7 лет назад
7 лет назад
9 лет назад
10 лет назад
10 лет назад