Ответы
Ответ дал:
0
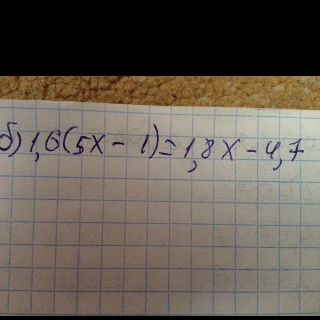
1,6(5х-1)=1,8х-4,7
8х-1,6=1,8х-4,7
8х-1,8= -4,7+1,6
-1х= -3.1
х=-3,1:(-1)
х= 3,1 (минус и минус даёт плюс,поэтому в ответе со знаком плюс)
8х-1,6=1,8х-4,7
8х-1,8= -4,7+1,6
-1х= -3.1
х=-3,1:(-1)
х= 3,1 (минус и минус даёт плюс,поэтому в ответе со знаком плюс)
Вас заинтересует
3 года назад
3 года назад
8 лет назад
10 лет назад
10 лет назад