• Предмет: Алгебра
  • Автор: alecsandramo
  • Вопрос задан 10 лет назад

Решите, пожалуйста, с пояснениями!

Приложения:

Ответы

Ответ дал: zhenyaM2002
0
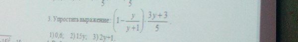
(1- frac{y}{y+1} )  *  frac{3y+3}{5} =

Выражение в скобках приведем к общему знаменателю:
= ( frac{y+1}{y+1} - frac{y}{y+1} ) * frac{3y+3}{5} =

Решим  выражение в скобках,   вынесем общий множитель в знаменателе  второй дроби (на которую умножаем) :
=frac{y+1-y}{y+1}  * frac{3(y+1) }{5}=  frac{1}{y+1} *  frac{3(y+1)}{5} = frac{1*3(y+1)}{5(y+1)} =

Сократим числитель и знаменатель на общий множитель (у+1) :
= frac{3}{5} = 0,6
Ответ дал: alecsandramo
0
Спасибо, большое!)
Ответ дал: zhenyaM2002
0
Всегда пожалуйста)
Ответ дал: alecsandramo
0
:***
Вас заинтересует