Ответы
Ответ дал:
0
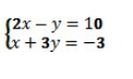
х+3у = -3
2х-у = 10
х = -3 - 3у
2(-3-3у)-у = 10
-6-6у-у = 10
-7у = 16
у = -16/7
х+3у = -3
у = 2х - 10
х+3(2х-10) = -3
х+6х-30 = -3
7х = 27
х = 27/7
2х-у = 10
х = -3 - 3у
2(-3-3у)-у = 10
-6-6у-у = 10
-7у = 16
у = -16/7
х+3у = -3
у = 2х - 10
х+3(2х-10) = -3
х+6х-30 = -3
7х = 27
х = 27/7
Ответ дал:
0
3•2x-3•y=3•10
x+3y=-3
6x-3y=30
x+3y=-3
7x=27
x+3y=-3
x=3
3+3y=-3
x=3
3y=-3-3
x=3
3y=-9
x=3
y=-3
Вас заинтересует
2 года назад
2 года назад
7 лет назад
10 лет назад
10 лет назад