Ответы
Ответ дал:
0
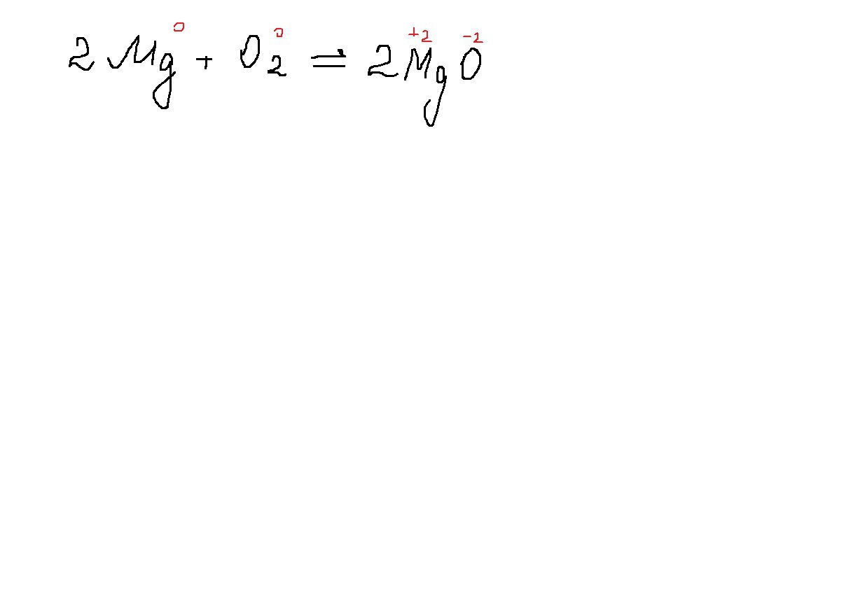
У простих речовин ступінь окислення завжди дорівнює 0, у кисню ступінь окислення завжди дорівнює -2, у магнію просто вважаєш (в сумі з киснем має бути нуль).
Приложения:

Вас заинтересует
2 года назад
2 года назад
7 лет назад
9 лет назад
9 лет назад