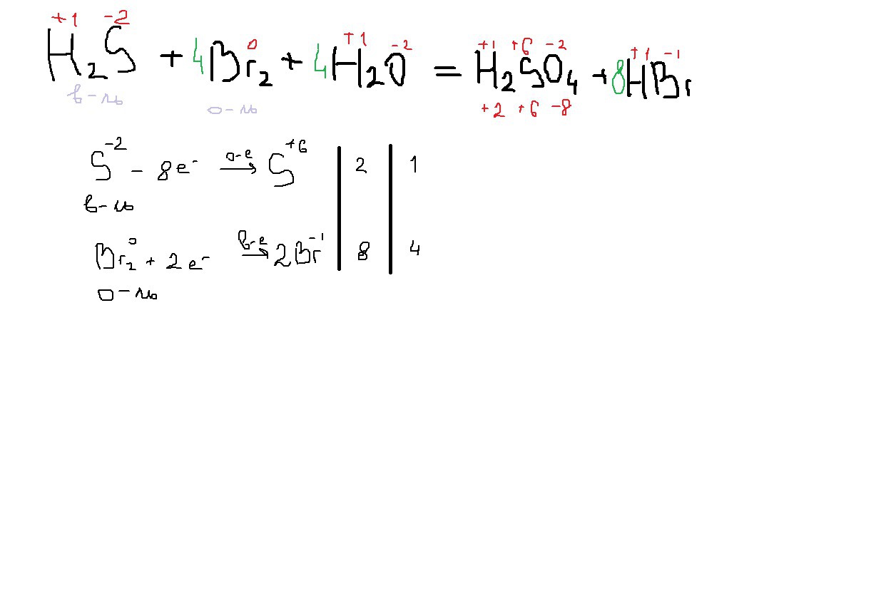
уравнять методом электроного баланса, определить окислител
и востановитель;h2s+br2+h2o=h2so4+hbr.
Ответы
Ответ дал:
0
Смотри вложение, если будут вопросы, пиши
Приложения:

Ответ дал:
0
спасибо большое
Ответ дал:
0
пожалуйста)
Вас заинтересует
2 года назад
2 года назад
7 лет назад
7 лет назад
9 лет назад
10 лет назад
10 лет назад