Ответы
Ответ дал:
0
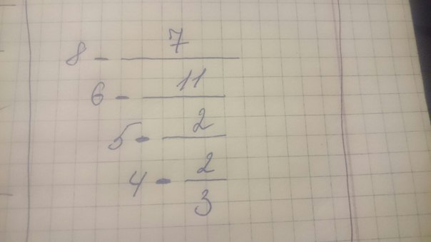
1)4-2/3=10/3
2)2/(10/3)=6/10=3/5
3)5-3/5=22/5
4)11/(22/5)=5/2=2 1/2
5)6-2 1/2=7/2
6)7/(7/2)=2
7)8-2=6
2)2/(10/3)=6/10=3/5
3)5-3/5=22/5
4)11/(22/5)=5/2=2 1/2
5)6-2 1/2=7/2
6)7/(7/2)=2
7)8-2=6
Ответ дал:
0
СПАСИБО
Ответ дал:
0
а можеш еще решить
Вас заинтересует
2 года назад
8 лет назад
8 лет назад
10 лет назад
10 лет назад
10 лет назад