Ответы
Ответ дал:
0
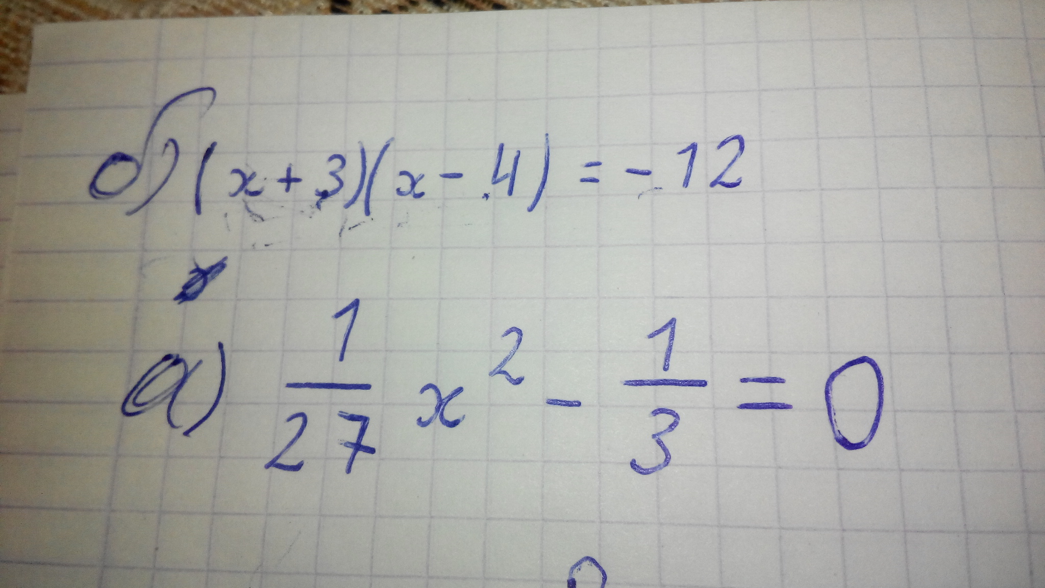
b) (x+3)(x -4) = -12
x²-4x+3x-12 +12 =0
x² -x =0
x(x -1) =0
x =0,
x -1 =0,
x =1
ответ: x =0, x =1
a) x²(1/27) -1/3 =0
1/3(x² *1/9 -1) =0
(x² -9)/9 =0
x² -9 =0
(x -3)(x +3) =0
x -3 =0, x =3
x+3 =0, x= -3
ответ: x = -3, x =3
x²-4x+3x-12 +12 =0
x² -x =0
x(x -1) =0
x =0,
x -1 =0,
x =1
ответ: x =0, x =1
a) x²(1/27) -1/3 =0
1/3(x² *1/9 -1) =0
(x² -9)/9 =0
x² -9 =0
(x -3)(x +3) =0
x -3 =0, x =3
x+3 =0, x= -3
ответ: x = -3, x =3
Вас заинтересует
2 года назад
2 года назад
7 лет назад
7 лет назад
10 лет назад
10 лет назад