Помогите пожалуйста.
Решите показательное уравнение вынесением множителя за скобку:
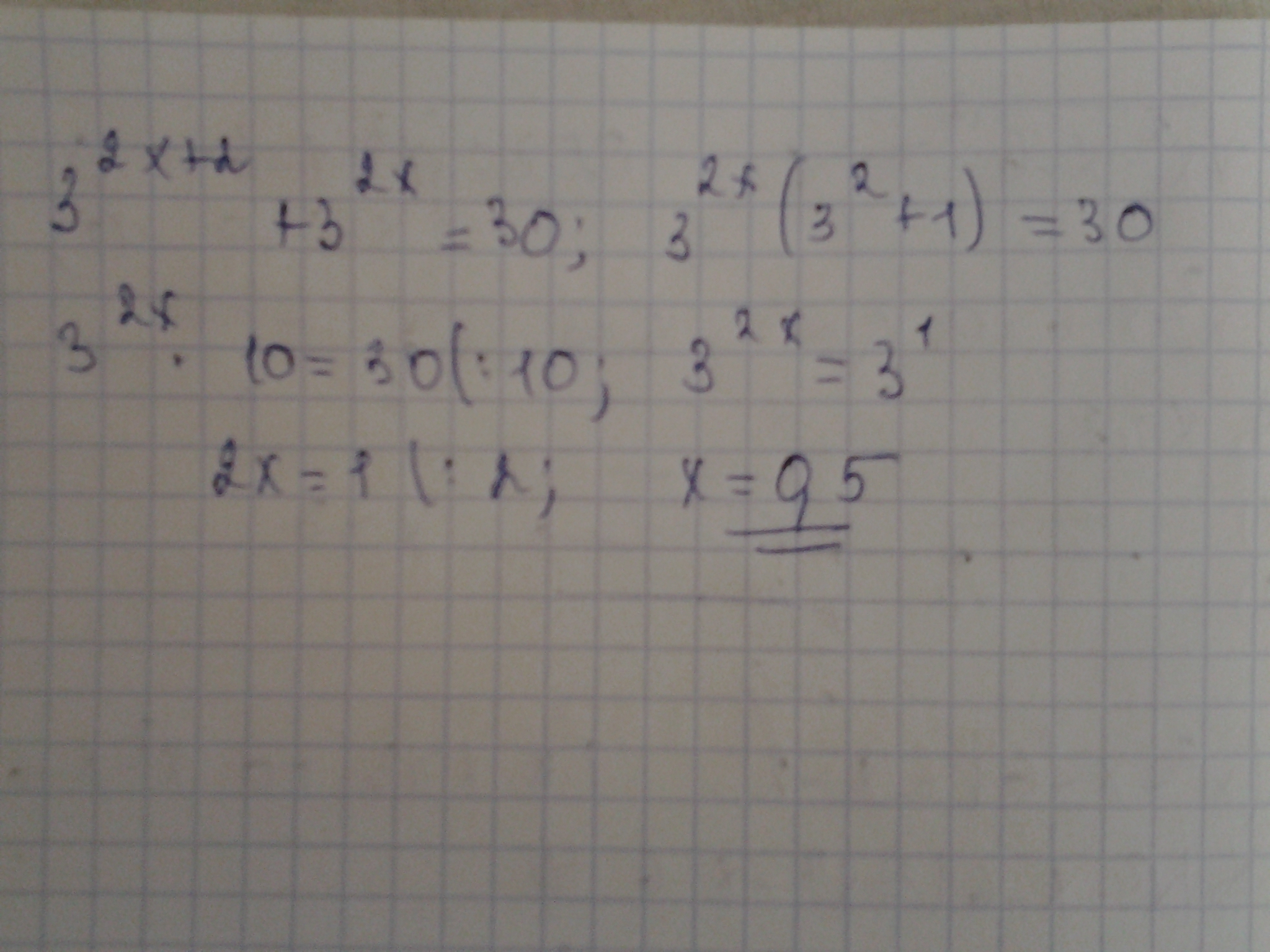
3^(2x+2)+3^2x=30
Ответы
Ответ дал:
0
Применены свойства степени
Приложения:

Вас заинтересует
2 года назад
7 лет назад
7 лет назад
9 лет назад
9 лет назад
10 лет назад