Ответы
Ответ дал:
0
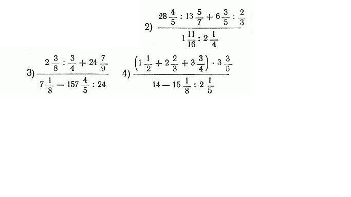
ответ на номер 2-1) 28 4/5:13 5/7=144/5:96/7=144/5*7/96=cокращаем=21/10=2 1/10
2)6 3/5:2/3=33/5*3/2=99/10=9 9/10
3)2 1/10+9 9/10=12
4)1 11/16:2 1/4=27/16*4/9=сокращаем=3/4
5)12:3/4=12/1*4/3=сокращаем=16
2)6 3/5:2/3=33/5*3/2=99/10=9 9/10
3)2 1/10+9 9/10=12
4)1 11/16:2 1/4=27/16*4/9=сокращаем=3/4
5)12:3/4=12/1*4/3=сокращаем=16
Ответ дал:
0
2.
.................=16
1) 28 4/5:13 5/7=144/5 * 7/96=21/10=2 1/10
2) 6 3/5:2/3=33/5 * 3/2=99/10=9 9/10
3) 2 1/10+9 9/10=12
4) 1 11/16 : 2 1/4=27/16 * 4/9=3/4
5) 12:3/4=12*4/3=16
4.
...............=4
1) 1 1/2+2 2/3+3 3/4=1 6/12+2 8/12+3 9/12=7 11/12
2) 7 11/12 * 3 3/5=95/12*18/5=57/2=28 1/2
3) 15 1/8 : 2 1/5=121/8 * 5/11=55/8=6 7/8
4) 14 - 6 7/8=7 1/8
5) 57/2 : 7 1/8=57/2*8/57=4
.................=16
1) 28 4/5:13 5/7=144/5 * 7/96=21/10=2 1/10
2) 6 3/5:2/3=33/5 * 3/2=99/10=9 9/10
3) 2 1/10+9 9/10=12
4) 1 11/16 : 2 1/4=27/16 * 4/9=3/4
5) 12:3/4=12*4/3=16
4.
...............=4
1) 1 1/2+2 2/3+3 3/4=1 6/12+2 8/12+3 9/12=7 11/12
2) 7 11/12 * 3 3/5=95/12*18/5=57/2=28 1/2
3) 15 1/8 : 2 1/5=121/8 * 5/11=55/8=6 7/8
4) 14 - 6 7/8=7 1/8
5) 57/2 : 7 1/8=57/2*8/57=4
Вас заинтересует
3 года назад
3 года назад
8 лет назад
10 лет назад
10 лет назад