Найти площадь полной поверхности правильной треугольной призмы, со стороной основания 9 см, и боковым ребром 3 см
Ответы
Ответ дал:
0
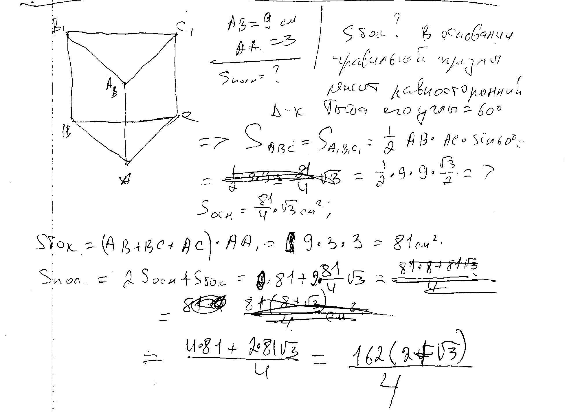
решение в скане.........
Приложения:
Ответ дал:
0
Простите, но на 2 сократите сами.
Ответ дал:
0
Площадь основания равна: Sоcн=a²√3/4=81√3/4 см².
Площадь боковой поверхности: Sбок=Рh=3·9·3=81 cм².
Площадь полной поверхности: S=2Sосн+Sбок=2·81√3/4+81=81(√3+2)/2 см².
Площадь боковой поверхности: Sбок=Рh=3·9·3=81 cм².
Площадь полной поверхности: S=2Sосн+Sбок=2·81√3/4+81=81(√3+2)/2 см².
Приложения:
Вас заинтересует
3 года назад
3 года назад
8 лет назад
8 лет назад
10 лет назад
10 лет назад
10 лет назад