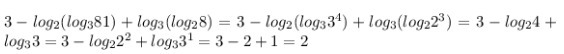
Вычислить : 3-log^2log^3 81+log^3log^2 8 помогите пожалуйста срочно нужно жду. .... пожалуйста дайте ответ
Ответы
Ответ дал:
0
Приложения:

Вас заинтересует
2 года назад
2 года назад
7 лет назад
7 лет назад
9 лет назад
10 лет назад