• Предмет: Алгебра
  • Автор: Котенок525
  • Вопрос задан 10 лет назад

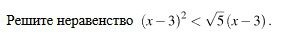
Решите неравенство. Должно получится два ответа: 3 и 3 +  sqrt{5}
А как их получить не знаю.

Приложения:

Ответы

Ответ дал: sedinalana
0
(x-3)²-√5(x-3)<0
(x-3)(x-3-√5)<0
x=3  x=3+√5
           +                 _                    +
--------------(3)----------------(3+√5)--------------
x∈(3;3+√5)
Ответ дал: Котенок525
0
Я понимаю, что это глупый вопрос, но как получилось второе выражение?
Вас заинтересует