• Предмет: Геометрия
  • Автор: nikatsibuliaeva
  • Вопрос задан 10 лет назад

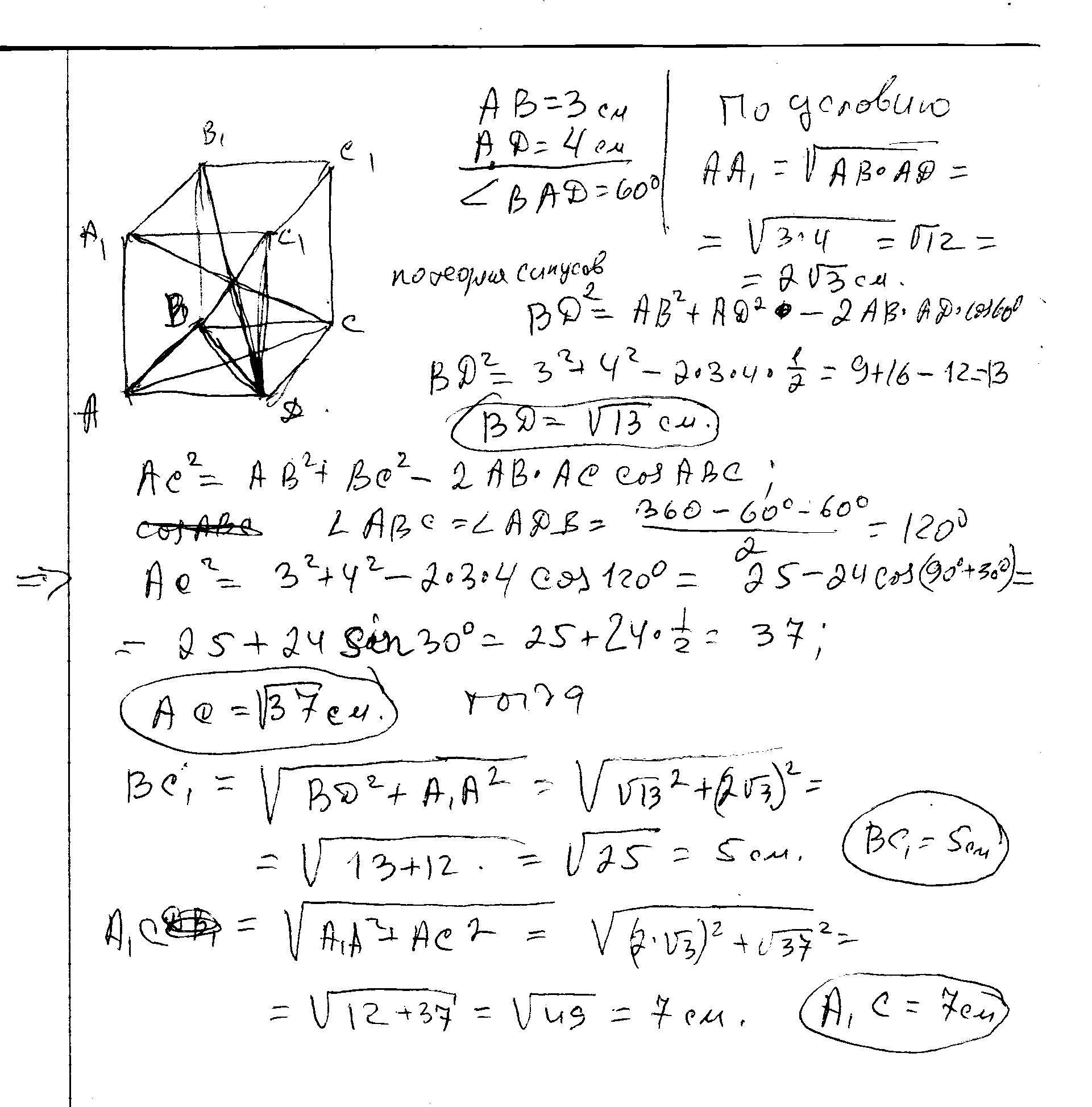
В прямом параллелепипеде стороны основания длиной 3 см и 4 см составляют угол в 60 градусов, а боковое ребро есть среднее пропорциональное между сторонами основания. Определить диагонали этого параллелепипеда.

Ответы

Ответ дал: ужнеужели
0
решение в скане........
Приложения:
Вас заинтересует