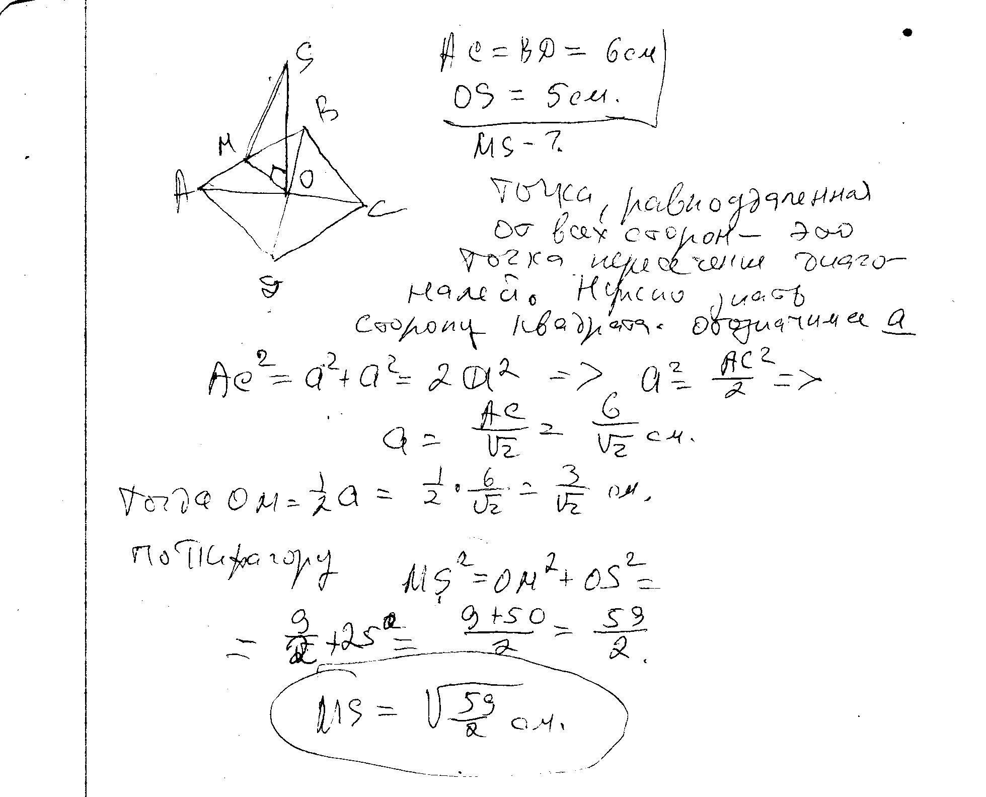
Диагональ квадрата равна 6 см. Точка равноудаленная от всех сторон квадрата. находится на расстоянии 5 см от точки пересечения его диагоналей. Найдите расстояние от этой точки до стороны квадрата.
Ответы
Ответ дал:
0
решение в скане............
Приложения:

Вас заинтересует
2 года назад
7 лет назад
7 лет назад
9 лет назад
10 лет назад
10 лет назад