• Предмет: Алгебра
  • Автор: bonton
  • Вопрос задан 10 лет назад

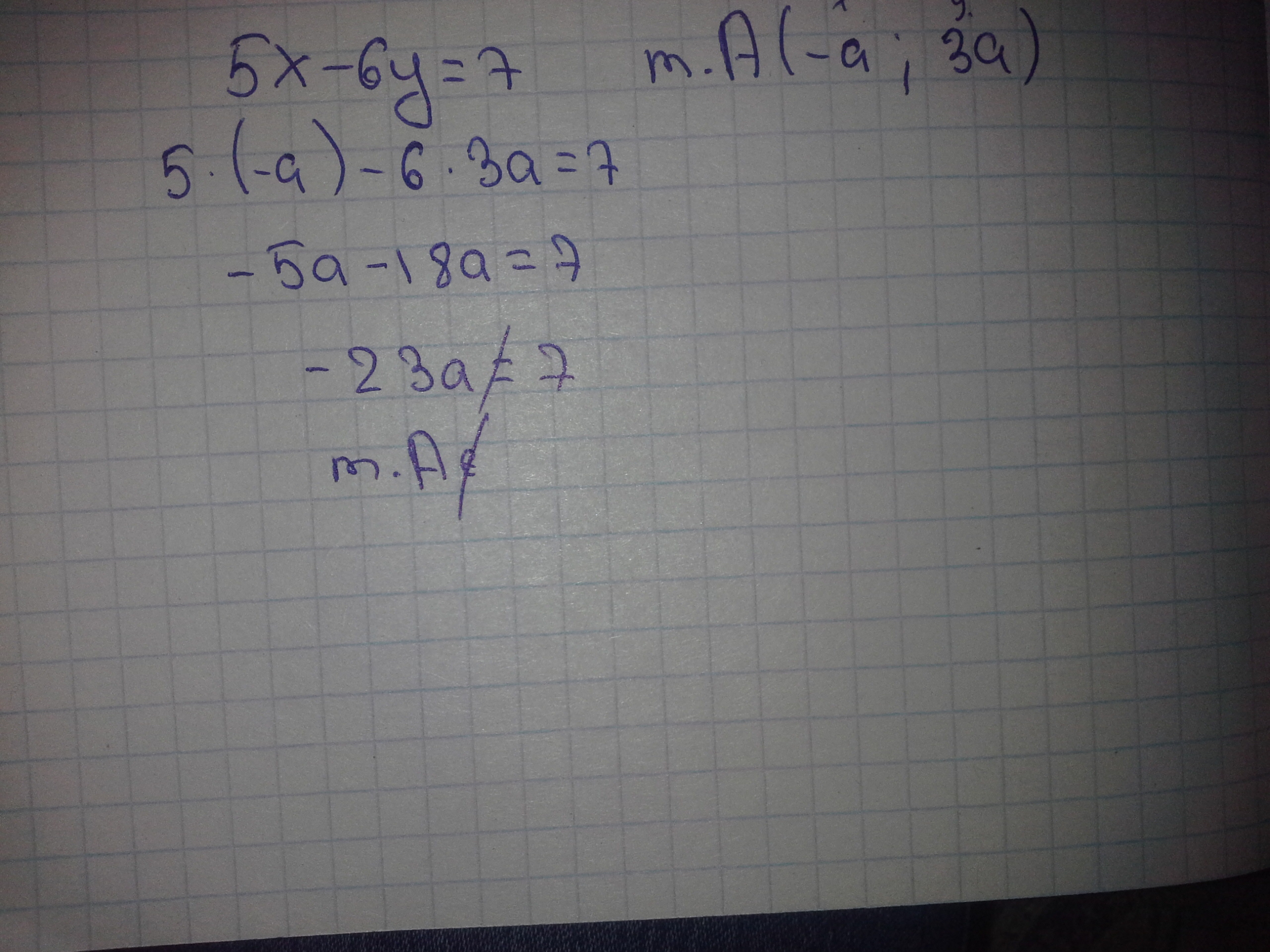
Пожалуйста, помогите!!! График функции 5х-6у=7 проходит через точку А(-а; 3а). Определите значение х и у.

Ответы

Ответ дал: Venera7690
0
/////////////////////////////
Приложения:
Ответ дал: bonton
0
не понятно!
Ответ дал: Venera7690
0
короче тебе дана функция и к ординат точки ( в нашем случаи точки А) , и там первое т.е (-а) это поставляем в место х, а( 3 а) поставляем вместо у и решаем дальше как на фотке
Ответ дал: Venera7690
0
короче тебе дана функция и к ординат точки ( в нашем случаи точки А) , и там первое т.е (-а) это поставляем в место х, а( 3 а) поставляем вместо у и решаем дальше как на фотке
Ответ дал: bonton
0
спасибо!!!
Вас заинтересует