Помогите пожалуйста, очень нужно (2 и 3 задание). Описать на листе желательно, подробно.
Приложения:

Ответы
Ответ дал:
0
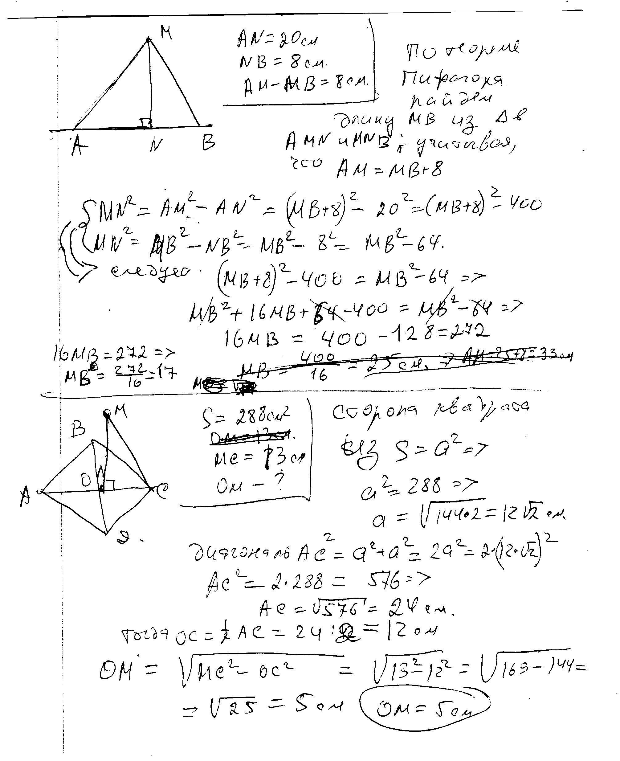
решение в скане........Спасибо, что указали ошибку.
Приложения:


Ответ дал:
0
да пощитал
Ответ дал:
0
так что сможете 1 зад А и Б сделать поставлю спасибо)?
Ответ дал:
0
Продолжите торговаться не сделаю. Ясно?
Ответ дал:
0
Стыдно, уважаемый.
Ответ дал:
0
да я просто попросил, спасибо большое
Вас заинтересует
2 года назад
2 года назад
7 лет назад
7 лет назад
10 лет назад