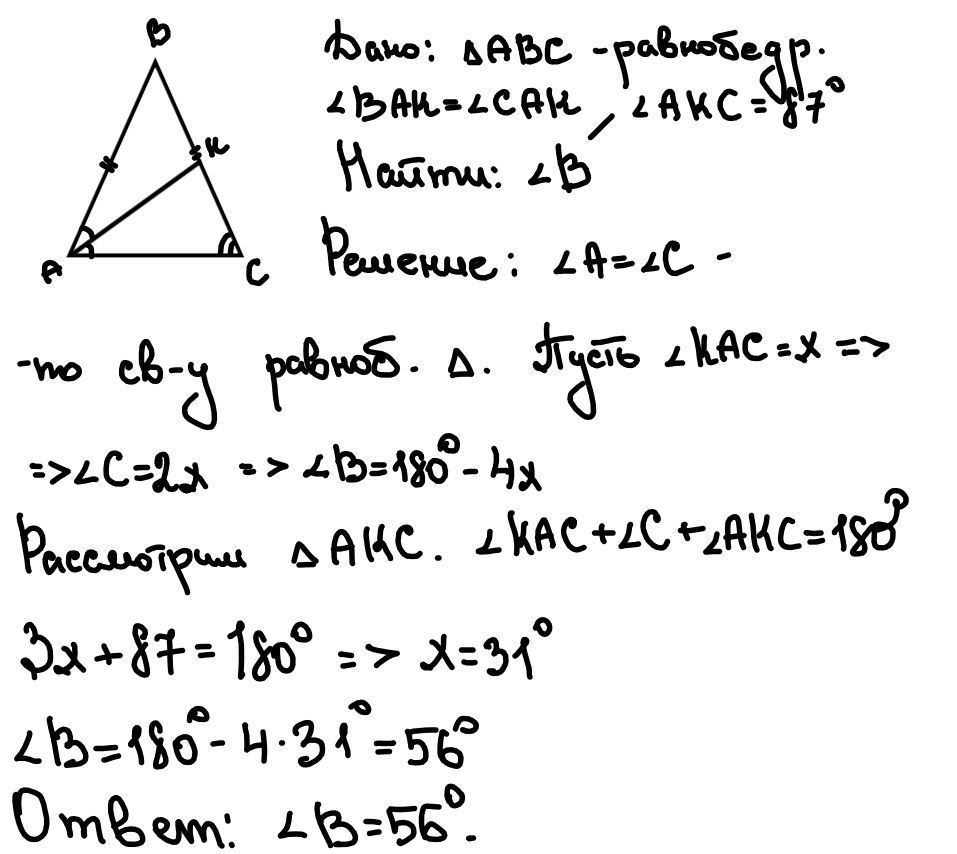
В равнобедренном треугольнике АВС с основанием АС проведена биссектриса АК. Найдите угол В, если угол АКС=87градусов
Ответы
Ответ дал:
0
Решение на рисунке.................
Приложения:
Вас заинтересует
2 года назад
2 года назад
8 лет назад
8 лет назад
10 лет назад
10 лет назад
10 лет назад