№1. в прямоугольном треугольнике один из углов равен 30 градусов радиус вписанной в неё окружности 5 см. найдите площадь треугольника.
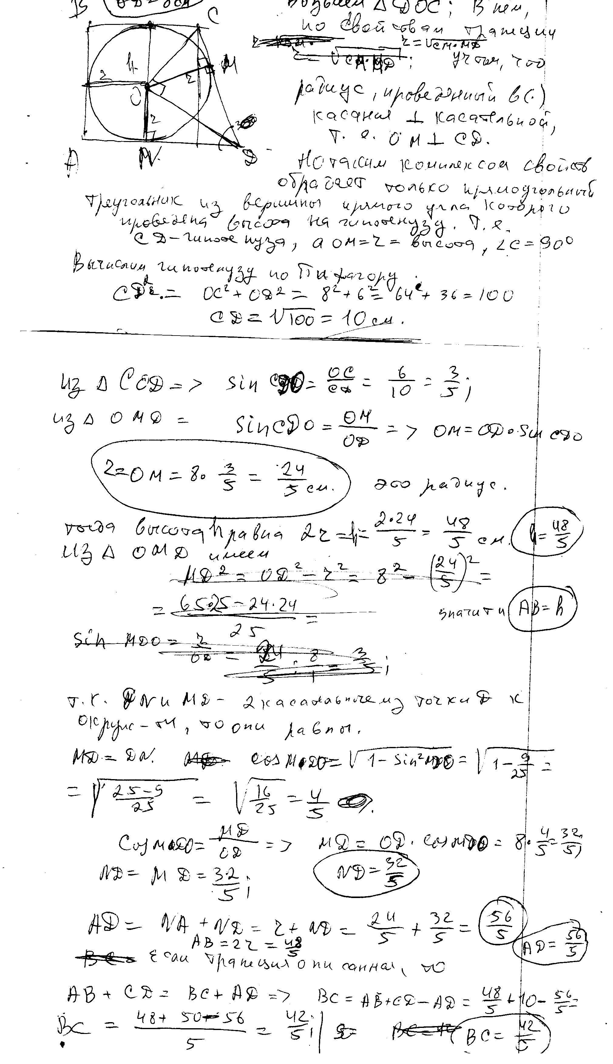
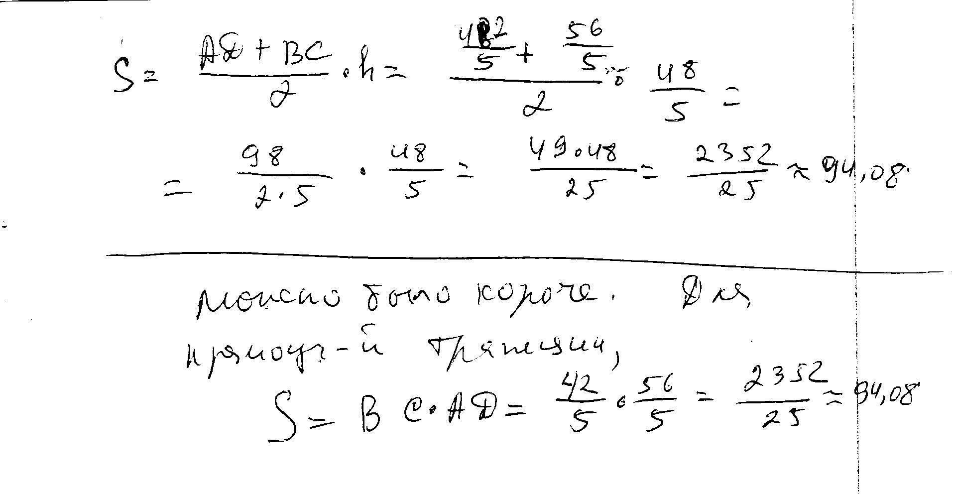
№2.расстояние от центра вписанной в прямоугольную трапецию окружности до концов больше боковой стороны равны 6 и 8 см. найдите площадь трапеции.
С РИСУНКАМИ ПОЖАЛУЙСТА!!)))))
Ответы
Ответ дал:
0
решение в скане.......
Приложения:


Вас заинтересует
2 года назад
2 года назад
7 лет назад
9 лет назад
10 лет назад