Ответы
Ответ дал:
0
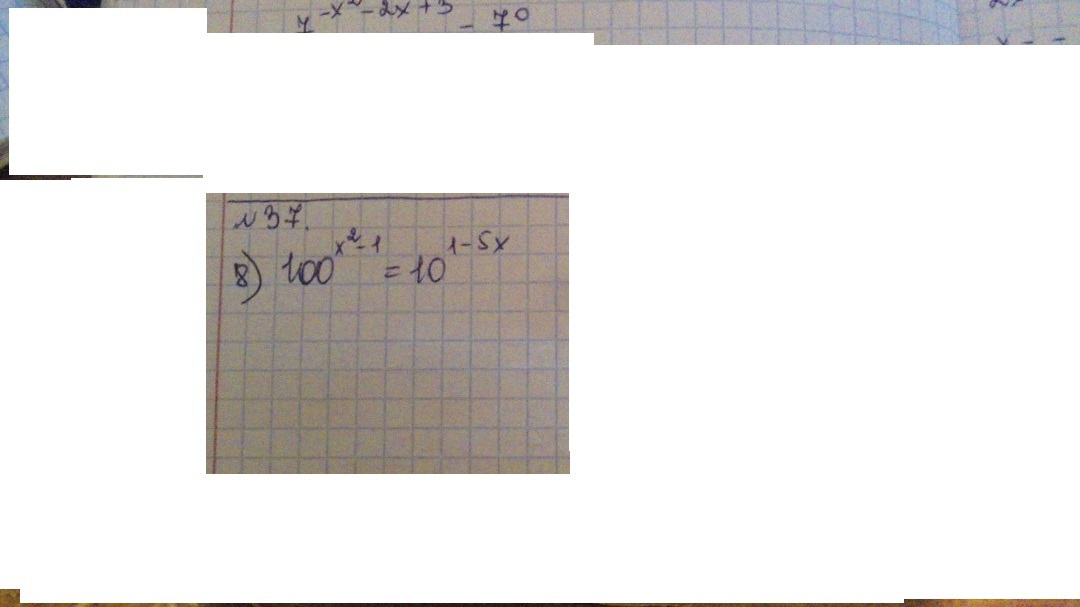
100=10²
10^(2(x²-1))=10^(1-5x)
2(x²-1)=1-5x
2x²-2=1-5x
2x²-2-1+5x=0
2x²+5x-3=0
d=25+24=49, √d=7
x1=(-5+7)/4=1/2
x2=(-5-7)/4=-3
10^(2(x²-1))=10^(1-5x)
2(x²-1)=1-5x
2x²-2=1-5x
2x²-2-1+5x=0
2x²+5x-3=0
d=25+24=49, √d=7
x1=(-5+7)/4=1/2
x2=(-5-7)/4=-3
Вас заинтересует
2 года назад
2 года назад
7 лет назад
10 лет назад
10 лет назад