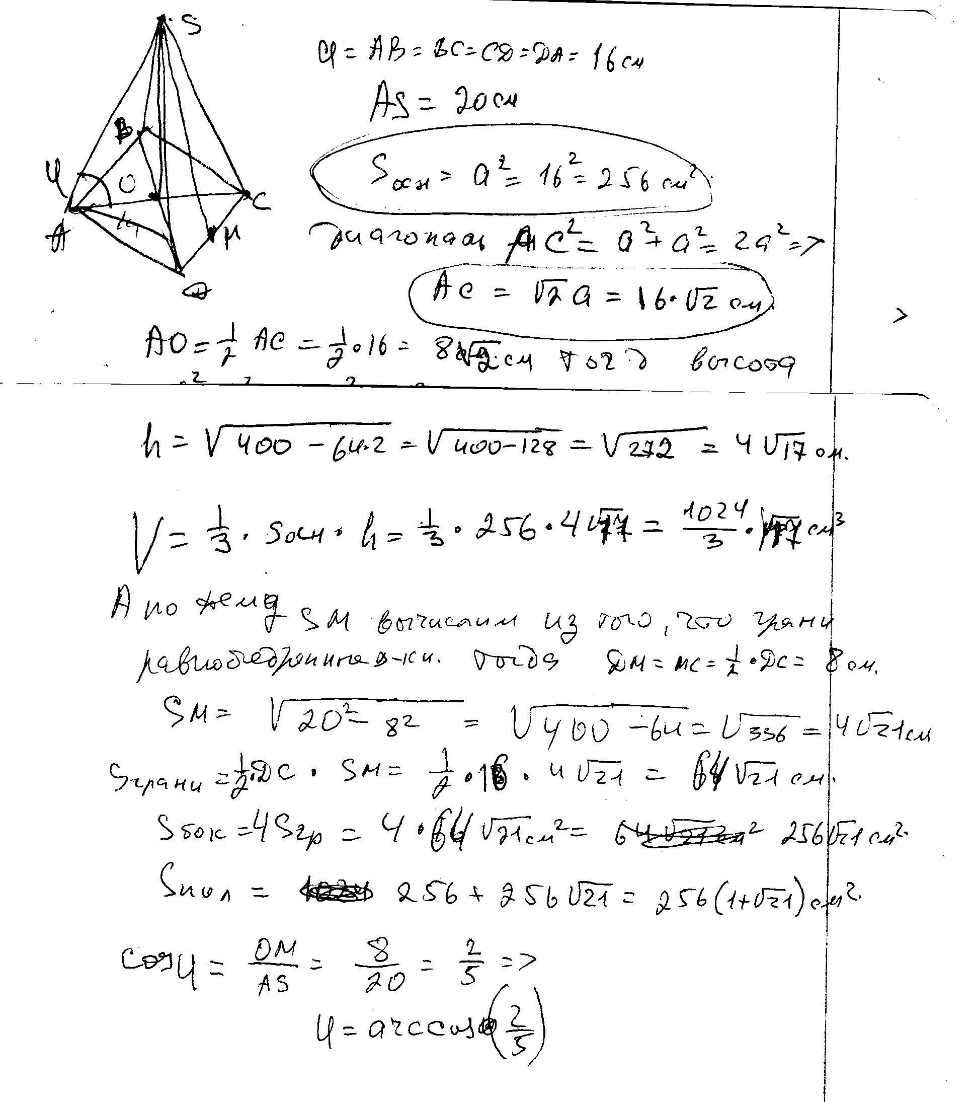
Дана правильная пирамида в основании квадрат со сторонами 16см, АВ=16, АS=20см. Найдите объём пирамиды, Sполное и угол между боковой гранью и основанием. Помогите пожалуйста, надеюсь на вас.
Ответы
Ответ дал:
0
решение в скане..........
Приложения:

Вас заинтересует
2 года назад
2 года назад
7 лет назад
7 лет назад
9 лет назад
9 лет назад
10 лет назад
10 лет назад