• Предмет: Геометрия
  • Автор: apozyan01
  • Вопрос задан 10 лет назад

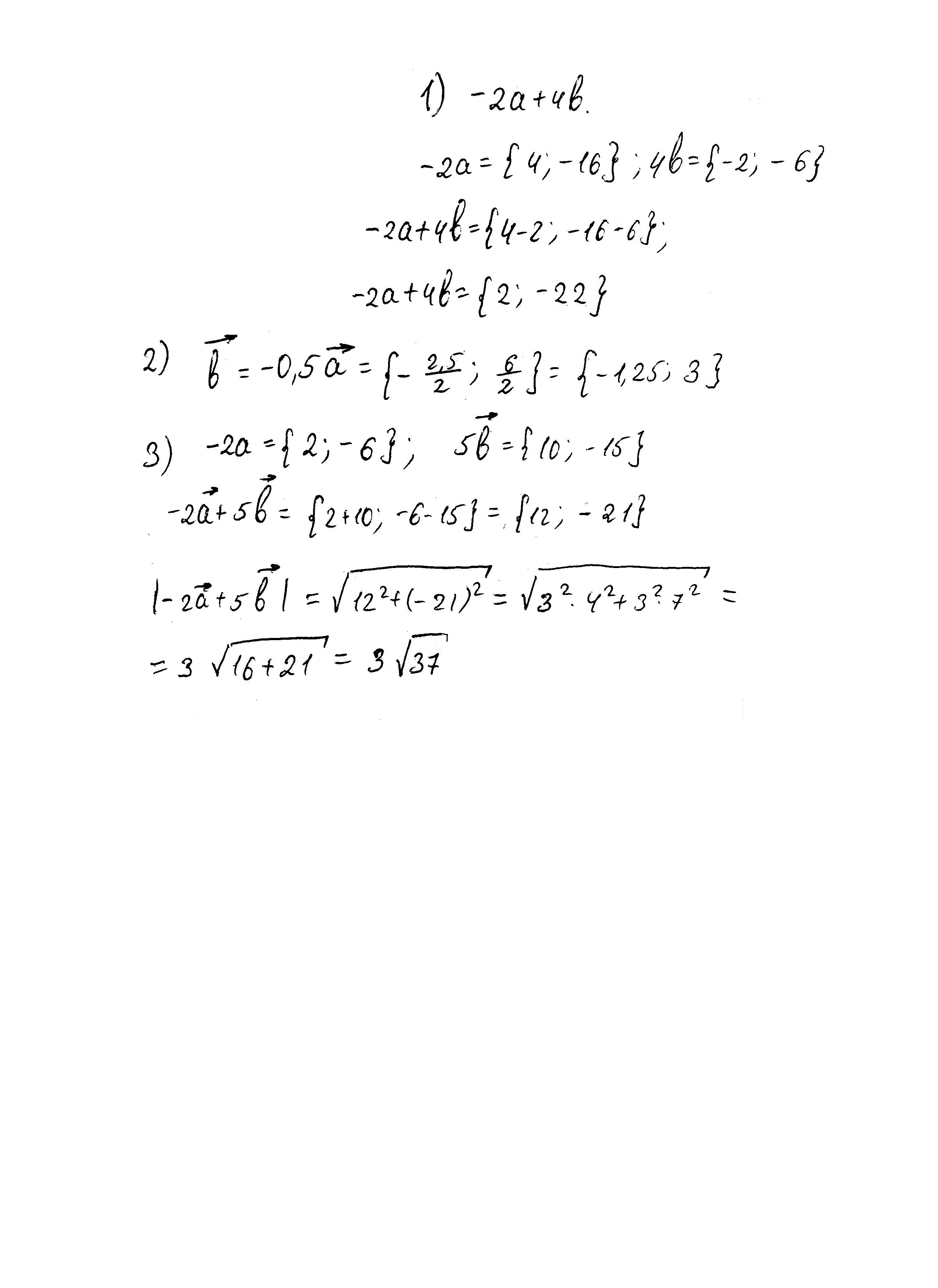
1) найдите координаты вектора -2а+4b, если а(-2;8) и и(-0,5;-1,5)
2) дан вектор а(2,5;-6). Найдите вектор bб имеющий в два раза меньшую абсолютную величину и противоположно направленный с вектором а
3) найдите абсолютную величину вектора -2а+5b, если а (-1;3) и b(2;-3)

Ответы

Ответ дал: bearcab
0
Решение в приложении.
Приложения:
Вас заинтересует