• Предмет: Геометрия
  • Автор: Евген07
  • Вопрос задан 10 лет назад

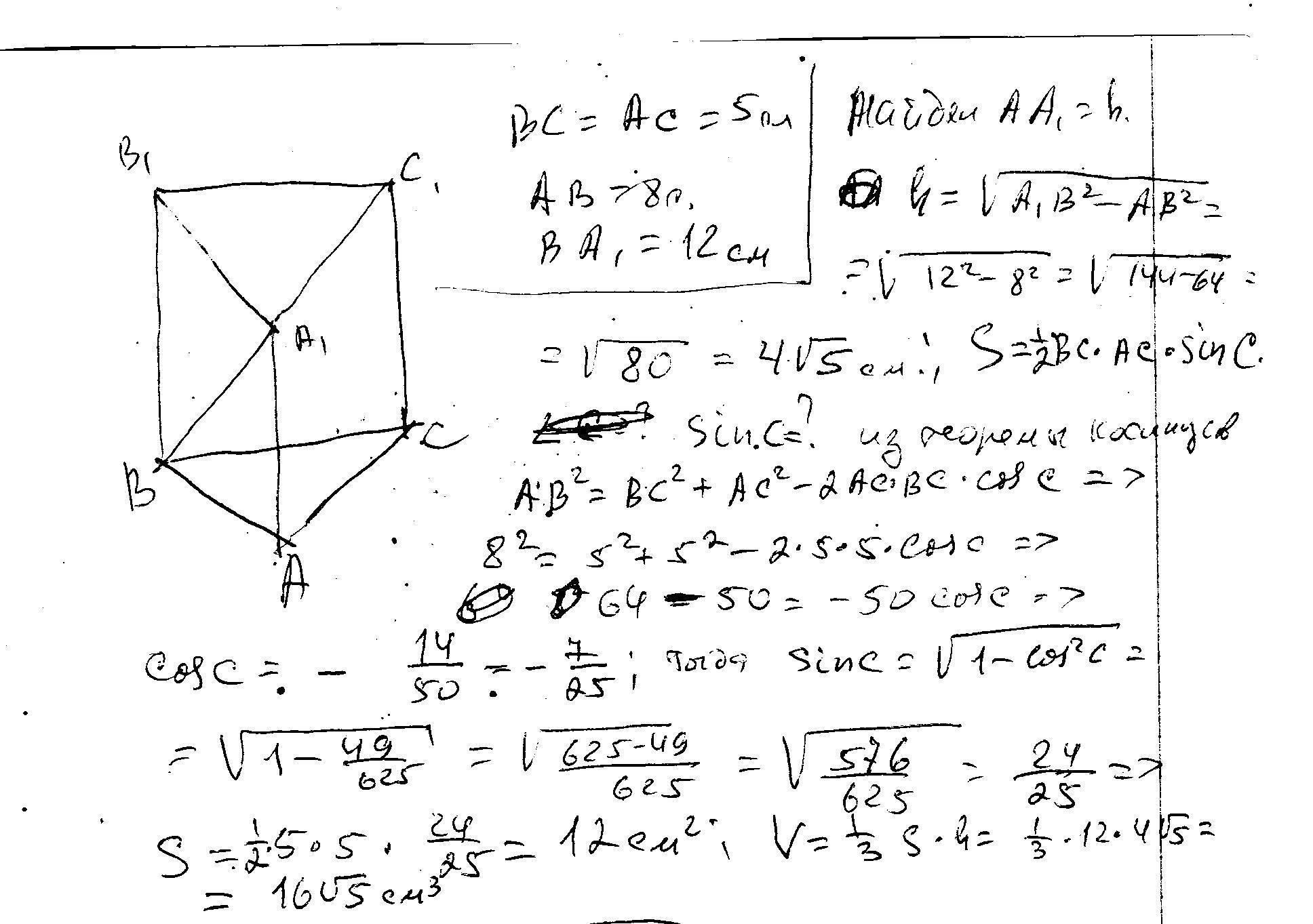
В основании прямой призмы лежит равнобедренный треугольник со сторонами 5, 5 и 8 см.
Диагональ большей боковой грани призмы равна 12 см. Найти объём призмы.

Ответы

Ответ дал: ужнеужели
0
решение в скане..........
Приложения:
Вас заинтересует